Integral equality

vendredi 29 novembre 2013

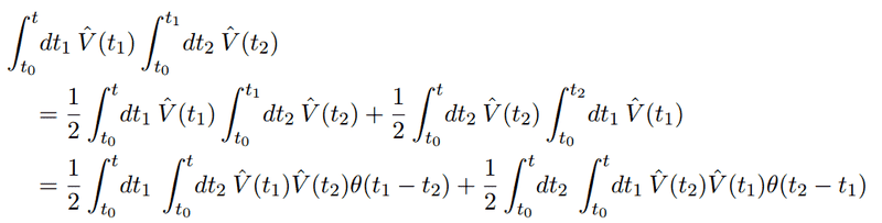
Can anyone help med understand the manipulations done to the integral operator equation attached? θ(t) is the heaviside function so:

θ(t1-t2) = {1 for t1>t2 0 t1<t2}

The t1 and t2 are dummy variables and I don't see how the rewriting takes place.




Attached Images





File Type: png integralequation.png (21.7 KB)








via Physics Forums RSS Feed http://www.physicsforums.com/showthread.php?t=725568&goto=newpost

0 commentaires:

Enregistrer un commentaire