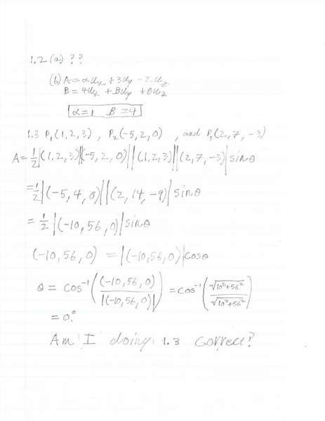
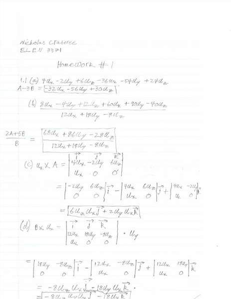
Area of A Triangle in 3D

vendredi 30 août 2013

1. The problem statement, all variables and given/known data

Uploaded





2. Relevant equations

Uploaded





3. The attempt at a solution

I actually need someone to check my work for 1.1 and 1.2. Is what I have done in 1.3 correct I mean it does not seem right?




Attached Images









File Type: jpg EPSON001.jpg (45.1 KB)
File Type: jpg EPSON002.jpg (36.4 KB)


Attached Files





File Type: pdf Homework 1 electromagnetics GLEB.pdf (57.7 KB)








via Physics Forums RSS Feed http://www.physicsforums.com/showthread.php?t=707859&goto=newpost

0 commentaires:

Enregistrer un commentaire