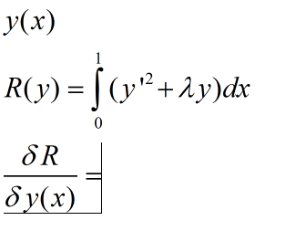
Sorry I'm not sure how you get math script on here, so have had to attach it.
It is a differential under an integral sign and I'm not too sure how to approach it.
Would you use Leibniz rule?
Do you differentiate or integrate first?
- where y is a function of x, and R of y
Thanks in advance
It is a differential under an integral sign and I'm not too sure how to approach it.
Would you use Leibniz rule?
Do you differentiate or integrate first?
- where y is a function of x, and R of y
Thanks in advance
via Physics Forums RSS Feed http://www.physicsforums.com/showthread.php?t=708106&goto=newpost
0 commentaires:
Enregistrer un commentaire