skip to main
|
skip to sidebar
Physics
Pages
Accueil
Binomial Theorem problem
mercredi 31 juillet 2013
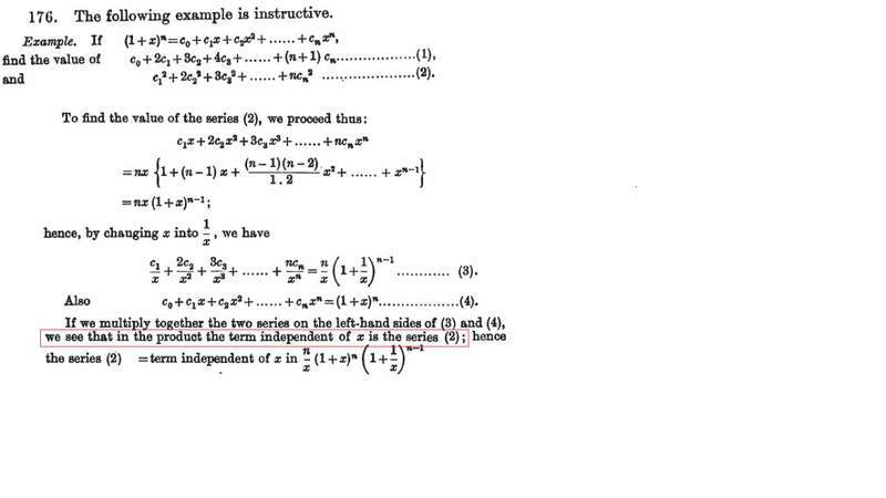
I highlighted the portion in red in the paint document that I'm not understanding.
How can we see by inspection that the product is equal to the series 2?
Attached Images
series.jpg
(56.1 KB)
via Physics Forums RSS Feed http://www.physicsforums.com/showthread.php?t=703732&goto=newpost
0 commentaires:
Enregistrer un commentaire
Article plus récent
Article plus ancien
Accueil
Inscription à :
Publier les commentaires (Atom)
Labels
-
-1
...incarceration or institutionalization can delay emotional growth
.3333.... equals to
"A Slower Speed of Light"
"Amount" red light in red shifted light
"Black sun" effect in CMOS sensors
"Cosmology from quantum potential"
"Inside" the balloon analogy
"null geodesic" - Dirac
"What colour is this dress" craze
"Why does there need to be a UFT"
"Why models run hot"
(6
(Answered) Finding new potential difference after switch is closed?
(Physics Ph.D.) Berkeley or Princeton.
(simple?) question on number of molecules in an area
(Solid State) low resistivity dependance on temperature
)
[Java] Did I write this program correctly? Please check
[Python] include block of code
[SQL] Order of Appearence in Query Results.
[SQL] Way of Relating any two Tables?
[Thermal Physics] Calculating Energy Removal
*)
*) in Fortran ?
*)and (*
0) plane in HCP
000 miles per second?
1
1 Capacitor
1 degree
1-D elastic collision between proton and nucleus
1]
100 Lockers Problem Java Program.
126% size of full moon
12V Wind Turbine - Voltage question
130
16 years old and an aspiring physicist
1951)
1D Harmonic Oscillator in a Consant Electric Field
2 Inductors
2 questions...I wish I had gone to school for this
2-form oriented triangle
2015 Summer Internships Thread
2048 game
2048 mobile app game
210% size of full moon
2D kinematics question (2nd year of undergrad level.)
2D Stationary advection-diffusion eq. as a BVP
2D-Diamond and 2D-Center Rectangular Lattice Comparison
2nd order pole while computing residue in a complex integral
3 barrel question / logic puzzle
3-phase neutral wire inquiry
300% size of full moon
30FPS displayed on a 200Hz monitor
342
36% size of full moon
3D Solid Deformation Problem
425% size of full moon
44
4D space? 4D Cubes?
5 seconds
5 year video
525% size of full moon
5D Space-time (and higher...)
6 sided shape drawing
60Hz to 50Hz converter for subwoofer
80% Gasoline + 20% Kerosene = 20% more power?
840 ...
91. Nobel lauriate cosmologist
A
a 1-D dirac delta in n-dimensions
A ball of mass m is thrown with a velocity v at a disk...
A ball on a string
A ball on a string.
A ball rolls without slipping in a cylindrical trough
A big storm over Sydney region
A Black Holes "lost entropy"?
A change proposial in policies.
A coin on 2D membrane
A conductor shields its inside from its outside but not vice-versa
A confusion with tangent galvanometer
A confusion with tangent galvanometer.
A cuboid on an inclined plane - based on an Olympiad problem
A glass marble is dropped down an elevator shaft
A heated cathode inducing thermionic emission of electrons.
A hole in the LHCs vacuum bubble safety argument
A lemma in proving Sylows theorem
A little help with a Python equation
A little more math
A New Day For Saturn
A noobie questioning the nature of space
A number theoretical problem
A problem about CMB
a Putin critic shot dead
A question about derived functors.
A Question about fractional calculus
A question of rolling?
A question on adding dates to name et al. in dissertation
A question on defining vectors as equivalence classes
A question on proving the chain rule
A question on the commutativity of finite rotations
A question regarding isolated charged plates vs. capacitors
A reasonable topic for a write-up in theoretical physics
A simple question regarding H2O
A Small light bulb is suspended
A Space Geeks Return to the Forums
A spring and two blocks with kinetic energy
a step skipped in solution.
A string sewn in a 2D membrane
A Universe without expansion
A water fountain that seems to defy gravity
A-level student with a love for particle physics
A=F/M Based problem - air track glider
abelian groups
abelian groups.
About anti bunching and bunching
about light
about scattering length
About the birth of a Star
About the Rubber Sheet Analogy
About the Uncertainty Principle
about velocity
Absolute potential enegy
Absorbtion of EM quanta
Abstract Algebra; Group Theory Question
Abstract Class return
AC current through AC equipment
AC power source for lab
Academia as a woman who wants a family
Accelerating charges and frames of reference
Accelerating Particle Radiation
Accelerating Wedge and block on top of it -- Dynamics
Acceleration as a Motion or Not a Motion
Acceleration time graph
acceleration/gryo ratings for spinning wheel
acid dissociation constant
Acidic strength
Active/Passive Diffeomorphisms – clarification on Rovelli’s
Adaptive Modulation System
Adhesive and cohesive forces
Adiabatic irreversible expansion
Adiabatic vs. Isocurvature cosmological perturbations
Adjoint and inverse of product of operators
Advice needed about rocket performances
Advice on building a radio transmitter in the Radio Control band
Aerospace Careers for Non-Engineers
Aerospace engineering at Imperial?
Age problem in the LCDM model
air resistance on a car around a bend
Air rifle max velocity vs. tank pressure
Aircraft APU
Algebra 2 and Trig textbooks
algebra geodesic equation
Algebra/small approx quick Q
Algorithm for Numerical approximation to add data points
Ali and Das
Allocatable character array in Fortran
alloha !
Almost sure invariance principle
Aloha :)
Alpha significance
Alternating current
Alternating series question
Alternator output
Aluminium embossing roller
Aluminum structure modifications for use near a very hot fire...
Am I reading this reaction right?
Amazing shot of a meteor over Loch Ness
Ambient temperature on production floor
Amino Acids and Lipids
Amperes law question
Amplified Tuner Circuit
Amplitude of 2 waves at a point
An appropriate way to show a professor you care?
An argument for "Brocards problem has finite solution"
An interesting experimental phenomenon about electric field
An Introduction to Quantum Field Theory (Peskin and Schröder) - Page 22
An investigation on the factors affecting skiing
Analogy for recession of galaxies > the speed of light
Analyzing diode circuit with Constant Voltage Drop model
and added load? friction
and declination
and function notation
and ISIS/ISIL/Daesh
and Losses
And now for the latest news from Alpha Centauri
and Sinewave
and Sinwave
and v
And... who is your Swords+Sorcery or Fantasy character?
Angle of Inclination of a Water Surface
Angle of photon emission from particle decay (Particle Phys)
angle of total acceleration of an object in circular motion
Angular momentum of a thin spherical shell
Angular momentum to Power
angular motion-centrifuge problem please help.
Animating wave packet with Python
Annoying URL in copied text
Anomaly cancellation triangle
Another cannonball question
Another Inductance winding Number question
Another question from Srednickis QFT book
Another Thermo First Law Q
Ansoft maxwell 15
answer way too small... something wrong?
Ansys 15 and Maxwell 14
Antenna theory detection of angle of incidence
Antiparticles are regular particles going backward in time?
Any good websites for learning Java?
any help about orc
any help about ORC (organic Rankine cycle)
Any tips on studying better?
Anyone have advise on how to learn languages?
Anyone have experience finding money for school?
AP Calculus AB vs AP Calculus BC Exams?
Apparent Depth of Light Bulb above Water and Mirror
Applications of SHM difficult
applied force
Applied Optimization
Applying law of momentum conservation
Arc length
Are all antennas traveling wave antennas?
Are all physics theories reliant on "the speed of light"?
Are Jacobi fields defined at intersection points?
Are Jupiters bands visible with binoculars?
Are matter and energy interchangeable?
Are present and future perspectives different?
Are relative velocities in std config equal in value?
Are the following Sets: Open
Are the non-physicist physics lovers here content?
Are there assignments to gain trophy points?
Are there astronomy competitions?
Are there closed curve solutions for these ODE constraints?
Are we training too many physicists?
Are we wrong to try and unify quantum mechanics and relativity?
Are Women More Emotional than Men?
area of a window.
Argument Essay Topics
Arithmetic progression.. sum and nth term
Artificial gravity
As we move to the future
asinx + bcosy into single trig function
Asking a girl for coffee?
Asking my Boss for Grad School Funding...
Assessing a measurements precision
Assigning cosine and sines for axes
Assuming separability when solving for a Greens Function
Asteroid 2004 BL86 and its small moon
Asteroid 99942 Apophis
Asteroid 99942 Apophis impacting the Earth in 2029
Astronomy: Sun azimuth from altitude
Astrophotography -- Best Telescopes?
At what angle of force is Kinetic friction least?
At what point can one be considered a physicist?
Atlas on S^2
atmosphere of the Hadean Era
Attempts to explain quantum entaglement
Aurora reliable data
Aurora/Magnetosphere Physics PhD programs? (Texas)
Auto-save feature bogs down web browser dramatically
Average back emf
average kinetic energy
average kinetic energy of the molecules a cold liquid less?
average kinetic energy of the molecules in a cold liquid less?
Average velocity vector
Axial flow synchronous machine modeling and smulation
Baby its cold outside -- revived
Balancing Normal Forces (Statics).
Balancing weights (simpler version)
Ball bearing selection
Ball roll down from the top of a rough spherical dome
Ball rolling on a larger ball on a surface
Bandwidth Theorem
bar moving through magnetic field
Barn door tracker
Barometric Leg to drain a slurry from a system under vacuum
basic commutator of angular momentum
Basic Diff. Eq. problem
Basic GR questions
basic questions
Basic Questions on the Standard Model
Basic Thermodynamics
Basics for: Carbohydrates
Basics of Fluid Mechanics and Pressure
Basis and Dimension of Solution Space
Basis of a Vector Space
Basis of the solution space of a differential equation
Bayes theorem
Bayesian Network
beams in equilibrium
Beat frequency and velocity of observer
Beautiful Maths book recommendations
Beauty of old electrical and measuring things etc.
Beginning a career after grad school
Behavior of conductor
Being a physicist + difficult life?
Belgian RPV cracks
Bells inequality for non-physicists
Bending and welding Aluminium 2mm sections
Bending of space and time
Benzene in water adsorption test and GC without extraction?
Bernoullis principle
Best Book For Learning Basic Physics?
Best degree to go into systems engineering?
Best major to become operations research analyst?
Best planetary composition for flight
Best Programming courses
Best Songs Ever 2
Bianchi Identity
Bicycle Leaning
Big Bang and the singularity!
Big Bang!
Binary classification: error probability minimization
Binneys interpretation of Violation of Bell Inequalities
biological Machinery i.e. living pumps
biomechanics problem. Have no idea
Biophysics REU with no biology background
Biot-savart law question
Bisque Software for Astronomy SkyX
BITCOIN
BJT DC Analysis
Black hole error when closing the preview window.
Black hole horizon confusion
Black hole solution for efe
Black hole time dilation
Black Hole Time Dilation And Obserevation Of Accretion
Black Hole Time Dilation And Observation Of Accretion
Black Holes
Black holes in the globular cluster M22 with Dr. Tom Maccarone
Block and spring on a weird track (roller coaster)
Block diagonalization of a matrix
Block on Incline
Block pulled upward
Body "falling" sideways
Boko Haram Gunmen Kidnap Girls in Nigeria
Bolt screw shear strength calculations
Bolted Connection Loads
Bond length
Book/Books on elementary number theory
Books for derivating
Books on problem solving
Boost DC-DC converter basics
Bose condensation in a harmonic potential
Bose Einstein condensation
Bosuns Chair acceleration problem
Bowdoin
Box on Inclined Plane (with Friction)
Box sliding down wall at constant speed
Braggs Law Question
Branching ratio and decays
Bremsstrahlung Radiation
Bridge Rectifier Circuit
Browse unanswered threads is back!
BS CS or BS Physics?
BS-MS project topics
Bs.physics(optics) or major in physics minor in C.S
Bsc phy scholarship
BU
Bucket list - things to do
Buckling plate
Building a logic circuit from a truth table
Building a tube
Bulk Modulus and its derivative in a fcc lattice
but for intuition?
but Lake Erie has (almost)
but why doesnt 1/x > 0?
but why?
C-D Nozzle - Mach No. >1 at Throat
C# tutorial for beginning programmer
C++ and pthread simple program help
cable
calculate dose and current
Calculate Elastic Strain Energy in Solid State Physics
Calculate elliptical orbit using attitude and velocity
Calculate Excess Electrons
calculate KE and Momentum
Calculate moment of inertia of a L angle bent in a parabola
Calculate tension of two cables
Calculate the electric flux
Calculate the Pitch of a projectile with moving destination
Calculate torque for gearbox
Calculating angle of lean on a motorbike on a banked curve
Calculating change in linear position
Calculating distance given total work?
Calculating distributed parameters based on given Pi model
Calculating Equations of Ellipses Within a Cone
Calculating flow of air from explosive decrompression
Calculating fuse size
Calculating Gyroscopic Torque
Calculating Kp for gas mixture from picture
Calculating MC7805 parameters using datasheet.
Calculating measurement probabilities for the CHSH game
Calculating the Age of Planets without Radioactive Dating
Calculating the angular momentum
Calculating the center of gravity (hard version)
Calculating The Fermi Energy - Condensed Matter Physics
Calculating the force of a collision
Calculating Torque around moving Centre of mass
Calculating total bulk modulus of cylinder
Calculating volume occupied by 1 equivalent of gas
Calculating ΔH°rxn for a Reaction
Calculation of B to l nu decay width
Calculation of particles by integral
Calculation of total ionization cross section
Calculus AB Problem
Calculus by Apostol Exercise 1.7
Calculus by Spivak
Calculus Michael Spivak 3th ed. Pag 46: Function as a rule
Calculus Party
calibration cosmic distance scale on age globular clusters
Californian Earthquake predictions for the next 30 years
calulate rapid prototyping stl build time
Can a computer illiterate graduate in theoretical physics?
Can a Model Rocket reach space?
Can a radius of curvature be calulated from omega-k?
Can a singularity expand in volume?
Can bacteria nitrify ammonia if it is bonded to a base?
Can Conservation of angular momentum be used?
Can exhaust heat be used to reduce automotive drag?
Can force or displacement be negative in the work equation?
Can Holometer Null Result falsify LQG?
can i make a 100% efficient device?
Can i switch from computer science to computer engineering?
Can massless states be used to build massive ones?
Can Quantum Entanglement Be Blocked
Can quantum particles meet ?
can reflected light help generate electricity with a solar panel?
Can someone explain what it is meant by a Flat Universe?
Can someone explain what the speed force is?
Can someone help me find a good scholarship for B.Sc phy?
Can someone please explain this aspect of Interstella
Can someone please explain this aspect of Interstellar
Can spinning motion be converted into linear motion?
can we pass a small hole?
Can we prolong our lifespan and even achieve immortality?
Can we say the Higgs is the originator of Time?
Can white dwarfs have iron cores?
Can you "condense" a magnetic field and use a precision magnetic "beam" for space travel?
Can you answer this virtual photon paradox?
Canada-U.S. temperature conversion chart:
Cancer Therapy - Electromagnetic fields
Cancer treatment with radiations.
Candle Lit
Canonical Transformations
Cant figure out simple math problem
Cant get this product of Lorentz matrices right -- help please
Cant get this product of Lorentz matrices right! help!!
Cant remember where I read this!
Capacitance of a Spherical Capacitor?
Capacitor
Capacitor and Dielectric
capacitors question no idea?
Capillary Action
Car crash scenario
Car starting to move
Career Change at age 30 Caution-Long Post
career in Applied Physics
Career in nuclear physics
Career orientation - Mechanical Design Engineer
Carl M. Bender (Advanced Mathematical Methods ...)
Carleton
Cartesian to polar unit vectors + Linear Combination
Casimir effect
CDF and PDF Calculations
CE
Cell size
Center of Gravity problem
Center of gravity/moment of inertia
Center of Mass Using Triple Integrals Question
Center of rotation of a free rod
Central force w1/w2=√r2/r1
Centrifugal force
Centripal Force
Centripetal Acceleration
Centroid of Integral Area?
Ceres at 1 lightsecond
Ceres at 18800 km
Ceres at 23500 km
Ceres at 35800 km
Ceres at 52000 km
Ceres at 78000km
CERN quark experiments
CERN SPS
Certifying Knowledge of Statistics
Chain Rule of Differentiation
chain rule product rule
Chance for the public to name features on Pluto and Charon!
change as the reaction proceeds?
Change in mass
Change overwrite cursor to insert TI-30x series
Changing my major from marketing to physics
Charge
Charge and Voltage on Capacitors.
Charge inside of Conducting Shell
Charge On A Spherical Surface
Charge on spherical conducting shells
charged particles and directions
Chat Groups?
Chat trivia is back and with a prize!
cheap and easy electric generator design
Cheap gas again
Check computer speed in Matlab
Chemical potential
Chemists learn more about how life started on earth?
choice zeppelin vs. plane
choked flow
Choosing Graduate Advisor: Finding ones Interests
Circle at speed of light
Circuit Theory Question KCL and Dependent Sources??
circuit to control the pulse width of digital signals
circular loop with uniform magnetic field.
Circular polarization and Read3D glasses
Civilian Nuclear Engineer at Naval Shipyard
Clarification about Poincarés conjecture
Clarification on a topic in Apostols calculus text
Classical Hall effect when current has neutral charge
Classifying Exoplanets
Clocks Within Each Ship in Bell Spaceship Paradox
Closed
Closed Universe - FRW Equation
Clusters of non-vaccinated children
Coefficient of Friction in a V-Belt System -- Torque Changes?
Colby
Collision and Impulse
Collision problem
collision sound
Color Difference between Left and Right Eyes?
color to frequency
Coloured Pluto comes into view
Column Names of VSOP87
Combinatorics problem
Combining special relativity with newtonian gravity
Comet around sun
Commensurable time periods
Commutation relation
Commutators and traces
Compact
Comparator of 2 bit numbers
Comparing the current through multiple batteries
Comparing the Energy Levels of Diatomic Molecules
Comparing the wavefunction of single and entangled particle
Comparison test
Complete Induction Proof
Complex Analysis: Series Convergence
Complex Analysis: Theorem Name
Complex Wave Orientation Correction
component functions and coordinates of linear transformation
components of a field perpendicular to a point on a surface
Components of vectors (polar coordinates)
composite function problem
Compressed nitrogen v flow rate question
Compressed sensing
Computer revolution
Computing an integral -any method
Computing derivative (basic calculus question)
Computing max tensile and compressive stress in a bar
Computing trajectories in Schwarzschild spacetime
Concentric Dielectric Shell
Concept of limit
Conceptual question
CONFERM FORMULA
confetti pieces clogging
Confidence interval of two sample tests
Confused about kinetic energy...
Confusion About Notation with Tensors
Confusion on entropy change calculations for irreversible process
Confusion regarding Interference of light
Confusion regarding signs in SHM problem
Confusion: Fluctuation Theorem
Connected
Connected Capacitors
Connection between Lorentz covariance and special relativity
Connection between Pauli XYZ and spatial XYZ
Connection needed to define derivative of a vector field?
Connections between Linear and Rotational Quantities
Consecuences of leaving a CS major for physics.
Consequences of denser atmosphere on Earth-like planet
Conservation of charge
Conservation of current?
conservation of energy and Poynting vecrot
Conservation of energy in a capacitor
conservation of energy question
Conservation of energy with springs
Conservation of Momentum and Relative Velocities
Conservation of momentum in a system
Conservation of momentum: throwing bricks
conservative forces ?
conservative forces?
Constant acceleration
Constant acceleration trajectory
constrained motion
Constraints on Inflation (Planck 2015 results XX)
Constructing S^3 from a S^2 and a bunch of S^1s?
Construction vs civil enigeering
Constructive interference and energy conservation
Continuing to Euclidean Space Justified in Path Integral?
Continuity at a point implies continuity in the neighborhood
Contradiction in thermodynamics problem?
Control design for PWM converter
Control Systems Engineering - Block Reduction Help
Control Theory State-Space method with derivative input.
Controling mirror movement with piezoelectric stage
Convergence of infinite series (e^(1/n)-1)
Convergence problem in ANSYS Workbench
Convergent Subsonic Ramjet Utilizing Shockwave Compression
Convert Prod of Sums to Sum of Prod
Convert program to binary
Converting intrinsic equation to cartesian
Coriolis Force Along the Surface of the Earth
Cornell
Corrosion in metal pipe carrying DC current?
Cosmologic "Chicken or Egg" query
Cosmological Constant
Could the expansion of space tear us apart?
Counting characters in fortran
Counting Wick ccontractions
covarient maxwell
covert tartaric acid to H2C2O4
Crank-Nicolson Example
Crazy Idea for Nuclear Waste Disposal
Creating new algorithm like PID
Creating pressure with hot plate
Creating superimposed states in an Hydrogen Atom
Creation and annihilation operators
Creation of Time?
Creation/Anhilation Operator Commutation Relation
criteria for following
Critical angle for a box to start moving on an incline
Critical damping vs Overdamping
Critical points and of polynomial functions
Crush Valentines Day!
Cryptography indexing the hash and primeality testing
cultivating Amoebae gingivales
Curiosity Question 1: Compression force from tension
Curious mind here
current and voltage in a circuit
Current in Two Loops
Current induced by magnet: maximize change in flux wrt time?
Current on a spring to withstand a weight.
Current required in a long wire
Current state of grad programs in UK for US student
current transformer for protection question
Curved-space Maxwell equations by differential forms?
Curves and tangent vectors in a manifold setting
curvilinear motion of force-couple system
Custom tick marks in matplotlib
Cycling - forces in a chainring
Cycling - forces in a chainring.
Cylindrical cavity resonator problem
d
D.E. Linear equation with integrating factor
Dalembert force and what the body "really" feels
Dark energy and the Cosmological Constant
Dark matter
dark matter black hole
Dark Matter Question
data scrambler in simulink
David Bohm Holographic Universe
DC Arc Fault Detection Theory
DC current
De Broglie Wavelength at Relativistic velocity
De Sitter space
Dealing with creepy students as a TA
Death date calculator
decay problem
Decline PhD programs and refer a friend
Decoherence question
Decompose wave packet into eigenvalues of L2
decomposing angular velocity and moment of inertia
Decomposition of a Carbonate
Deep Inelastic Scattering
Defer Grad Admission for more Undergrad Time?
Define a steady state current...?
Defining Light and Electromagnetism in simple layman terms
Definite integral of greatest integer function
definite integral problem
definite integral question
Deflection of light around a massive body
Degree of Polynomial
delayed choice question
Delta T Analysis
Dense exoplanet atmosphere
Density function for a normal distribution
Density LHC vs. Cosmic Rays
Density of states
Dependence of Phase Velocity on Wavelength
Derivation of "heat" equation w/ diffusion and convection
Derivation of Jefimenkos Equation in Jacksons EMT book
Derivation of the Area Formula for Triangles Using Axioms
Derivation of the Continuity Equation for Fluids
Derivation of the equations of APF
Derivative of a function in FORTRAN
Derivative of natural log function questions
Derivative of P(x) = 0.2 -0.125e^(0.005x) for X=1
Derive equation for Energy of the Harmonic Oscillator
Derive grad T in spherical coordinates
Deriving Plancks law in terms of frequency from wavelength
Deriving the Magnetic Field from a Magnetic Dipole
Design a Logic Circuit
Design an integrator
design code for structural steel materials
Design of a Gear Reducer for a Tractor
Design the diode circuit
Designing a compressed air vehicle
Designing a Fantasy World - physics advice needed!
Designing with Thermal expansion in mind
Destructive interference Sound question
Detached train cart
Details of Renormalizations
Detemining boson
Determination of moment of inertia of a hollow cylinder
Determine probabilities involving exponential distribution
Determine the intensities of GaAs crystal planes
Determine the Rate of Change of Pressure Across a Valve
Determine work in circular motion
Determine work on a spring.
Determining Amplitude queries
Determining Coefficient of Kinetic Friction w/m
Determining speed and height on a roller coaster
Determining the heat transfer co-eff. for heat sink fin
Determining the magnitude?
Determining the oscillations of an electron within a sphere
Determining unknown Force
Developments in Shape Dynamics
Deviation of a gas from ideal gas behaviour
Diagram That Contains All The Different Kind Of Physics?
dicrete math math proof
Did I make a mistake? Intl. student visiting grad schools
Did space time be created at the Big Bang?
Dielectric effects confined inside the dielectric material?
Difference between Delta particles and protons and neutrons
Difference between dye and pigment
difference between emitter and collector?
Difference between equivalence and equality
Difference between integral calc and multivariable calc?
Difference between phonon and electron excitation
Difference between REF/RREF (Gauss vs Gauss-Jordan)?
Differences between Boltzmann and Fermi-Dirac distributions
Different orders for a phase transition (variable depending)
different wheel diameter
Differentiability in R2
Differentiability of the absolute value of a function
Differential equations and escape velocities
Differential Equations in simple mechanics?
Differential Forms
Differential probe for power
Differentials
Differentiator/Integrator circuits: Op-amp vs RLC circuits
Difficulties in the Computation of the Kretschmann scalar
Difficulty solving the following quadratic equation
Diffraction maxima
Diffusion current
digital vs analog info tx
Digitizing Trigonometry
Diophantine equations puzzle problem
Dirac and Majorana spinors for neutrinos
direction changes?
Direction cosine matrix of rolling disk on circular ring
Direction of a photon is fixed upon creation or observation?
Direction of friction acting on a rolling object
Direction of pressure in a Fluid
Disabling Tablet Traits of windows 8.1: Touchscreen
Disappeared science helpers
disappearing terms in electrodynamics boundary conditions
Discrete class D amplifier outputs low volume
Discrete math proof
discrete math question
Disk with catch
Distance of Jump
Divergence of the Electric Field
Divergence of vector field: Del operator/nabla
Dividing the CLK frequency by 8
division by zero
Do diabetics have sugary interstitial fluid?
Do electrons produce a constant magnetic field?
Do FCC Structures only have a CN of 12?
Do neutrinos and antineutrinos annihilate?
Do relative velocities in std config equal in value?
Do the brakes provide friction to tyres of bicycle/car?
Do the Euler-Lagrange equations hold for a time-dependent V?
Do we have a complete knowledge of the spectrum of light?
Do you consider both regular and rotational kinetic energy?
Do you have to be a genius to do nuclear/particle physics?
DoE/SULI acceptances?
Does a neutron star act like a big particle?
Does a scale *display* weight or mass?
Does an observers proper frame give a unique foliation?
Does anyone own Numerical Methods by Laurene Fausett?
Does definition of torsion depend upon the metric signature?
Does density affect sinking speed?
Does electromagnetic radiation actually carry kinetic energy
Does electromagnetic radiation actually carry kinetic energy?
Does every curve have a function?
Does gravity affect a magnetic/electric field?
Does increasing the frequency of an antenna require energy?
Does ionic crystals have total electric dipole moment?
Does kinetic energy increase the inertial mass?
Does light reach every single part of space?
Does quantization always work?
Does space-time have an energy itself?
Does standing tiptoes reduce the absortion of virabtions?
Does the expansion of the universe effect grav forces?
Does the Higgs Boson exist?
Does the human calculator stuff really work?
Does the space industry hire mathematicians?
Does time expand along with space?
Doing a Count in Access 2013 Query. How to?
Doing Physics instead of Medicine. Am I messing up?
Dont know how if the rule meter will be titled or not
Double Atwood machine
DOUBLE cannot convert the input expression into double array
Double Integrals in Polar Coordinates
Double majoring with physics?
Double Shear stress on a bolt
Double slit experiment and Interaction
double slit question
Double slit questions
Double Valve Spring
Doubt about a answer on a test
Doubts about nebulae and star formation
Drag and Lift Sensors for a Subsonic Wind Tunnel
Drawing and meshing involute bevel gears in CAD
Drawing the DC Model of a Circuit
Drawing three cards - combined probability
Drawing up a liquid by forward motion of a tanker
Drift in river boat problems
Drift velocity (Electricity)
drilled crank shaft
Drive Died... (arcing between pins on the PCBA)
Drumstick rebound.
Dumb What kind of Object is My PC/This PC in Windows 8.1?
dynamic mass/spring/damper
Dynamics assignment
E-field of cylindrical conductor above infinite ground plane
E=cB and electromagnetic energy density
E=hf as energy of a particle (other than photon)
Early CMB temperature?
Earmans "lost socks and green slime"
Earth and moon barycenter question.
Earth-Asteroid collision problem
Earths Inner-Inner Core
Earths rotation related to atmospheric motion
Economics NPV Problem
Ed Witten interview
Eerily Accurate Free Personality Analysis (Myers-Briggs)
Effect of a spring on equations of motion
Effect of Time Dilation on Visual Observations
Effects of emitter capacitor in the BJT CE amplifiers
Effects of Intermolecular Forces?
Effects of speedup capacitor.
Efficient aluminum foil heat transfer design
Efficient Neutron Sources
Effusion
Egg Drop
Ehrenfest paradox
eigenvalues of operator in dirac not* (measurement outcomes)
Eigenvectors of Inertia tensor
Einstein Equation
Einstein equation Quick Question
einstein field equation
Einsteins later thoughts on EPR
Elaborate reference on Wave motion
Elastic Limit
Elastic scattering of WIMPs off nuclei
Elecrtostatic discharge
Electric and magnetic fields
Electric charges
Electric dipole moment for a uniformly charged ring
Electric Displacement (Gausss Law)
Electric field above a circular loop
Electric Field above a cylindrical shell w/ charge density
Electric field at specific point
Electric field due to a distributed charge over a ring
Electric Field from Maxwells Equations
Electric field of a semi circle ring
Electric field on a point around a finite wire
Electric Field problem
Electric Fields through dielectrics
Electric Potential and Electric Potential E changes
electric potential at center of semicircle
Electric Potential Difference
Electric Potential Energy
Electric Potential Energy and Sign
Electric potential of hollow conducting sphere
Electrical Conductivity of Copper
Electrical Engineering (Cascoded Amplifiers)
Electrical Impedance
Electrical neutrality in radioactive decay
Electrical Properties of R11
Electricity and total current
Electricity. What kind of current should I use?
electrodynamics
Electrolysis System Work and Real Gas Law
Electromagnet to attract small iron pieces
Electromagnetic force
Electromagnetic force in different inertial frames
Electromagnetic induction
Electromagnetic Repulsion
electron acceleration in its lowest orbit
Electron Capture and Coulombs Law
Electron recoil due to photon emission
Electron recoil due to photon emssion
Electron shape
Electron traveling between two plates. Electric Fields?
Electronic engineering bachelor
Electronic Steam Tables Programs
Electrons and gases
Electrons and the Double Slit experiment questions
Electrons trajectory in positively charged hollow cylinder
Electrostatic force question
Electrostatics and electric shocks
Electrostatics Basics -- 2 plastic balls hanging on threads attract each other...
Elliptical Orbits In The Schwarzschild Metric
EM wave interacting with refelcting surface
EM waves generated by an oscilating dipole phase difference
EM waves in *Real* life
Email Notifications?
embed image into post
Emission radiance in participating media
Emitting vs. Reflecting
Energies of interaction
Energy balance. Physical interpretation of Q
Energy conservation and periodic motion
Energy conservation in Special Relativity
Energy Content of Steam: Variation with Pressure
Energy gained from induced current
Energy Help Advanced Level Help.
Energy stored in two loops of current
Energy units in the potential well problem
Energy-first approach to introductory physics
Energy-mass equivelance and the Higgs field
Energy-momentum tensor radiation-dominated universe.
Engineering
Engineering help
Engineering or Physics internship?
Engineering technician...good career choice? For sure
engines aggragated technical data for a presentation
entangled particle through double slit
Entanglement and Bell’s inequality Question
Entanglement as the fabric of space-time?
Enthalpy of reaction calculation?
Entropy change of van der Waals gas expansion
entropy change question
Entropy definition
Environmental Chem Homework
EOM for Pendulum hanging from spring
EPFLs claim about wave particle duality.
Epicalyx and sepal
Epsom Salts browning when dehydrating - burning or normal?
Equation of motion for a rotational mass and spring system
Equations of motion for a fixed-height inverted pendulum
Equatios of motion
Equilibrium and torque problem
Equilibrium at Universe (possible?)
Equilibrium of Particles
Equilibrium position of a charge between other 2 charges
Equilibrium problem - Vertical beam
Equivalence Principle Test Kits
Equivalence relation
Equivalent Resistance in series-parallel circuit
error in angular magnification calculation
Error propagation - partial derivative?
Error propagation for a sum of means
Escape velocity for Saturn (Introductory Mechanics)
Essential classes for physics major?
Estimates of the remainder in Taylors theorem
Estimating Milky Way Absolute Magnitude
Etanglement and Bells Inequality question
etc?
etc.
ethical?
Euler and the youth of mathematicians
Eulers Formula Proof
Evaluating indication of the wattmeter in three-phase system
even or odd
Every nonnegative real has an nth root proof
everyone
Everything engine building
Evolution toward a white dwarf
Excess electrons
Exercise proofreading about Fourier Series
Exercise: who does more work weight lifter/marathon runner
Expanding balloon analogy?
Expansion of bubble
Expectation value of 1/(1+x)
Expectation value of the square of Momentum
Experience with flipping your classroom
Experimental Black Hole Physics
Explain delayed choice quantum eraser without consciousness
explaining equation to stem class
Explanation of Torque in the precession of a top.
Express a series in sigma notation
Expressing electric field in cylindrical coordinates.
Extended Surfaces (Fins) Adiabatic Tip
Extension of measure on sigma-algebra
Extinction Spectrum?
extra courses for going from M.Eng to Physics
extra courses for physics grad school after Mech.Eng?
Extremely high current generators
Extremely large Black Hole discovered 900M years after BB
factorizing determinants and rules to simplify them
Failed first mathematical methods test
falling pot
Fan Descender Design Project
Fat Tails
Feedback and equilibrium between black holes and galaxies
feeling burnt out
Feeling inadequate
Feeling insignificant after watching space movies
FEM software
Fermi energy in metals approximately doubling
Fermi level concept
Fermi-Dirac distribution
Feynman Diagrams
Feynmans discoveries?
Fiber Bragg Gratings Reflection Co-efficient
Fiber bundles
Fiber optic loop
Fiber Optics Materials
fiber to the premises-- FTTP
Field effect transistors question
Field effect transistors question.
Figure management in Matlab
Figuring out largest load it can hold
Figuring out wavelength
Filling chamber air dynamics
Finally
find a combination of n and m
Find a point which satisfies 3x+2y+z=6 and x+4y+3z=3
Find all orthogonal 3x3 matrices of the form...
find angular magnification
Find area under a decay curve if half life is increasing
Find both the internal resistance of a battery and EMF
Find components of an E field perpendicular to a point
Find elements of a matrix such that its determinant is zero
Find F(7) and F(a^2-2) (a≥2) -- Simplify....
Find F(7) and F(a^2-2) (a≥2). Simplify.
find frequency of electromagnetic waves
Find Initial value such that solutions go to -infinity
Find Inverse of a Function
Find potential of a ball inside a grounded shell
Find Re(z)
Find tension as a vector on point A and point B
Find the actual sum of a fourier series at a given point
Find the curvature?
Find the electrostatic force
Find the equation of the tangent plane
Find the force of friction provided by the floor
Find the Magnitude of the Magnetic Field in a moving loop
Find the maximum value of this complex function
find the open circuit voltage for the RC circuit
Find the pattern: 12
Find the transition probability
Find theta angle in complex form
Finding a basis of a space
Finding angle between vectors
Finding angle required for equilibrium on a slope
Finding average angle in kinetic theory of gases
Finding Div and Curl of a Vector Field then evaluating a pt
Finding E Field at Point from non uniform charge density
finding lens information
Finding limitations for matrix
Finding mass from moment of inertia graph - inconsistency?
Finding mass of a meter stick using torque
Finding mass of acetyl salicylic acid in aspirin tablet
Finding particulate matter emissions
Finding period of any type of function
Finding poles for cauchys residue theorem.
Finding potential difference in a very long hollow cylinder
Finding potential to satisfy SE
Finding Real Zeros
Finding Resonant Frequency
Finding subpages without links
Finding tensor in QED
Finding the center of mass
Finding the coefficient of static friction on an inclined pl
Finding the current Io for t>0 in a RL circuit
Finding the exact value of a summation.
Finding the force in a Simple Harmonic Lattice
Finding the magnitude?
Finding the members of the Lie algebra of SO (n)
Finding the orthonormal basis for cosine function
Finding the scalar equation of a plane
Finding two possibilities of depth when volume is given?
Finding vapour pressure using compressibility chart
Finite difference method nonlinear PDE
Finite solutions of Brocard’s problem
Finite T transverse magnetization of transverse Ising chain
Finnaly
First Derivative
First experience with an NPN BJT
First Interstellar paper is out
First Order ODE
First photograph of light as both a particle and wave
Fitting a model to astronomical data
Fitting an ellipse through 3-d data
Fitting bacterial growth curve in Prism
Fitting distribution to histogram with low number of counts
Fixed point iteration
Fixing hazards in a logic expression.
flat / curved space metric component dependence on spacetime different locations?
Flat plate heat exchanger - Hand calculations help
flat/ curved space metric component dependence on spacetime different locations?
flat/ curved space metric component dependence on st diff?
Floating Earth Faults
Floor Loading of a structure....
Flow rate/pressure in a venturi
Flow Through a Tube
Fluid problem -- Piston moving in an oil-filled cylinder...
Fluid problem!
Fluids - Darcys Law
Fluke Recommendation
flux diode
Flux Direction effect on Saturation
Flux of Circuit made from Metal Bar on Parallel Rails
Flux Through a Non-Concentric Sphere
For animal lovers
For dog and puppy lovers
For kitten lovers
Force
Force applied? I think
Force between polar molecule and an ion
Force Field to Motion Equation
Force generated at caliper bracket while braking
Force of Big Bang
Force require to move water through a pipe?
Force required to change direction
Force required to hold a fire hose
Force to raise a cylinder over an edge
Forces and Laws of Motion
Forces and Newtons Laws
Forces on an Object
Forgetting things you have learnt in previous years
formula for Helmholtz Coil with a finite thickness?
Fortran - passing unknown array to subroutine
Fortran array help
Fortran Complex Exponential
Fortran If help
Fortran intersection of arrays
Fortran:store loop value in array
Four Hour Debate
Fourier and Hilber transform??
Fourier Series and orthogonality
Fourier Series Homework (Discontinuous Function)
Fourier Transform
Fourier transform - why we need it?
Fourier Transform and hilber transform
Fouriers method
free
Free Body Diagram
Free Energy Using Basic Rules Of Electricity
Free Physics Books
Freedom of speech and pseudoscience
Freezing point depression
Freezing Water with Nitrogen.
Frequency dependence of gravitational acceleration
Frequency of moving source
Frequency of sound waves from vibrating wire
Frequency oscillations and Plancks constant
friction and forces
Friction and Pulley
Friction and Pulleys
Friction is a Scalar
Friction query
Frobenius Solution to 2xy +5y -4xy = 0 at x = 0
from not obvious to obvious?
from observable to operators in QFT
from Portugal!
From which books of Mechanic Materials are these images?
FRW metric in higher dimensions (fast question?)
FRW. Dark energy
FTL Communication using entanglement
Fun
function and function
Function expression
Function notation and shifting functions
function of an accumulator with a pump
Functional Derivatives
Fundamental Theorem of Calculus
Funny pictures of politics and world affairs
Galilei and speed
gas fired water heater - sizing
Gas Laws Problem
Gate drivers for IGBT inverter: How to isolate V supplies?
Gauge invariance of electroweak lagrangian
Gauss law and parallel plates
Gauss Law and SHM
Gausss Law (Differential Form)
Gausss Law and SHM
General loop the loop problem...
General physics books?
General Relativity - Deflection of light
Generalized Dirac Equation for All Fermions?
Genetic algorithm
Genetic Algorithms
Geometric Optics Proof
Germanwings 9525 Crash in French Alps
get confused about time dilation
Getting into data science from computational physics?
Getting to Habitable Exoplanets
Getting worse at mental arithmetic
Getting xodeint from numerical recipes to work in dev-c++
Gibbs Enery
Gibbs free energy and equilibrium constant at a high T
Girlfriend asks going out while Im busy with my mind
Given Moment about a Pin and a Roller
Given T-symmetry
Glashow resonance (UHE neutrinos)
Globular cluster ejected from M87
Gluconeogenesis = fat or protein breakdown?
Gold And Silver
good absorber = good emitter?
good physics books
Good references for quantum spin chains
Got asked
GPA Requirements
Grad F of a level curve?
Grading curve ever surprise you?
Graduate Internship Decision
Graduate Physics student not sure what hes doing
graduate space physics programs
Grams of solute needed to lower vapor pressure of solvent?
Graph sol. of Dirac eq.
Graphene Information
Gravitational collapse
Gravitational Effect of Electromagnetic Radiation
gravitational equations used in model of orbiting bodies
Gravitational fields
gravitational force inside a sphere
Gravitational redshift
Gravitational waves in cosmology?
Gravity applies
Gravity from entanglement
Gravity instantaneous?
Gravity of Earth combined with centripetal force
Gravity on a trip to the moon
Gravity vs perfect vacuum
Grease supply to 4 seals with different pressure gradients
Great Book for Physics
Great physics jokes (pictures)
Green Woodpecker and Weasel
Greenhouse effect and earths surface temperature
Greens Function - modified operator
Greeting a Tinder date (and other related issues)
Greetings from Surrey!
ground state quantum no even-even odd-odd
Group Velocity Dispersion
group velocity of a wavepacket vs its mean phase velocity
guessing decay modes
Guidance in my quest for knowledge and understanding
guidance needed
guys.
Gyrocompass motion: Zero torque in the free axis
Haags Theorem in QFT
Hacks
Haiiii peeps
Hair dryer thermal energy
Half Wave-Plate: measurement contradicting theory
Hand Water Pump Mechanics
Hard Science Fiction
Hard to find some threads
harmonic oscillator in Heisenberg picture
Harness energy from temp. difference between Earth and space
Harnessing Radio Waves Project
Have you ever met anyone off this forum before?
Having extremely hard time letting go (serious viewers only)
Having trouble with some problems in my homework -- Balls being rolled and tossed
Hawking radiation prevents event horizon crossing?
Hawking radiation question
Health concern about lead on components
Heart rate vs. calorie burn
Heat dissipation in wires
Heat Exchanger Design Project
heat flow
heat properties
Heat time of steel in Watts
Heat transfer
Heat Transfer - Void Space Dynamic Insulation
Heat transfer and surface area of a pipe
Heat transfer from body through layers
Heat transfer from flame in pipe
Heat transfer radiation
Heat transmission calculation
heat unstable
Heating a metallic rod from one end by continuous heat flux
Heating a metallic rode from one end by continuous heat flux
Height and horizontal distance of a projectile
Height of Slope? Mass unknown
Heists
helicity flip for neutrinos
Hell hasnt frozen over
hello
Hello all!
Hello Beautiful World
Hello everybody
Hello Everyone
Hello everyone!
hello for starters...I have a question about water/elec
Hello from Saskatchewan
Hello PF
Hello physics people
Hello there..Im a Research studnt ..need ur help
hello world
Hello world changers
Hello World!!
Hello! Left my unfulfilling IT career for engineering :)
hello. new member. greetings
Helmholtz Coil Question
help calculating moments for a small crane-like machine
Help identify traits for Engineering Vs Research
HELp in Calculus
Help interpreting schematic with relay
Help me design an attendance process for lectures
Help me identify problem
Help me setup and solve double integral in polar coord.
help needed
Help needed for simulink
HELP NEEDED: Need to Purchase a Universal Testing Machine
Help on a tension related question?
Help on a torque question
Help please -- Problem of hydrostatics force in flat surfaces
Help please in matlab -- plotting a DAlembert wave equation
Help proving if a system is LTI?
Help to understand reversibility in galvanic cell
Help understanding flow of electricity
Help with a troublesome integral
Help with distance running formula
Help with First Order Differential
Help with gauge symmetry
Help with high school class selection...
Help with prototype
help with radioactive decay
Help with radius of curvature and refractive index of lens
Help with this please! (Temperature/Pitch question)
Help with trig identities
Help with view factors
Help with water pump calculations
Help? make o/w emulsion
Helpful courses outside of the physics degree requirements
Helping creating a few good topic sentences
Here are some astrophotos Ive taken lately
Hey Everyone!
Hey there
Hey there!
Hey there! Would appreciate some help...
Hi
Hi All! I am wondering whether physics is for me...
Hi can you help me in solving this from coordinate geometry?
Hi everybody
Hi everyone!
Hi folks!
Hi from Venezuela
Hi there
Hi there!
Hi There! I am looking for great connections with you all.
Hi! . . . have I finally found the right place?
Hi. New Member
hi/ho problem! -- Lens magnification
Higgs potential energy
Higgs-Z ditau decays
High redshift galaxies in the HUDF
Higher Order ODES
Hilberts sixth problem
Hillary Clinton Running for President
History of Data Analysis?
Hodge duality and differential forms
Hodge duality and some properties
Holding up a sign
Homemade Supercapacitor Capacitance test -- Help Please
Homework Help on Kirchoffs Laws and Magnetic Induction
Honda Africa twin
Horrendous SAT difficulty level in English?
Horsepower and Acceleration logic?
horsepower needed to lift 600 lb load
hour angle
Hover above the moon
How 2 calc force required to steer an articulated vehicle?
How a Battery Works?
How a current buffer transistor cancels the early effect.
How analog computers work?
How best to warm a cold attic
How big does a magnet need to be to move X amount of KGs
How can I adjust and fix the angle of a hatch?
how can i find the coefficient of kinetic friction?
How can I improve my writing posture?
How can I learn Physics and the necessary Mathematics?
How can I remove steam from exhaust gases?
How can I replicate conditions on pin on disc test
How can light absorbing material absorb for ever?
How can light absorbing material absorb forever?
How can one know what he/she is good at?
How can physics tie into 20th century European history?
How can we calculate universe diameter at a given time
How cathode is positively charged in voltaic cell?
How centripetal force is created?
How did Coulomb charge his spheres to verify Coulombs law?
How did Maxwells theory predict that c is constant?
How did we get the formula for torque?
How do I arrest a rotation at any angle
How do I become a better student?
How do i calculate an objects velocity along a vector?
How do I calculate the angle of rotation?
How Do I Determine the Change in Entropy of the System?
How do I figure out the change in enthalpy?
How do I represent this sine function?
How do I simplify this?
How do I use proof by contradiction to show that a concave function is always increasing?
How do people obtain the math for theoretical physics?
how do sacrificial electrodes work?
How Do Spinors Fit in With Differential Geometry
How do X-ray Binaries Form in Black Holes?
How do you chart the fourth dimension on a 3d plane?
how do you get 2 wires on AC out of phase by 180 degrees?
How do you make a glofish?
How do you seperate iron from clay?
How does a catalyst effect equilibrium?
How does a magnetic field affect an electrical field
how does clay pot cool water
How does enthalpy change
How does GPS correct for time dilation
How does length affect the bending of a horizontal beam?
How does light slide sideways?
How does regularity of curves prevent "cusps"?
How does split step Fourier method help four wave mixing ??
How does the circuit in a stun gun produce high DC voltage
How does the TV know
How does Time expand?
How does uncertainty apply to an electrons magnetic moment measurement?
How does uncertainty apply to electron mag mom measurement?
How does VLBI work?
How far bullet travels in 2
How good is HCN addition to aromatic conjugated aldehyde?
How important is an internship for a non-traditional student
How important is quantum theory to cosmology/astrophysics?
How is enthalpy not directily measurable?
how is the head-flow curve dependant on reynolds number
How is this H+ ion bonded when NAD becomes NADH +H+ ?
How is this solution derived?
How is this sound generated? / reverse engineer sound
How long must concrete slab cure before anchoring equipment?
How many electrons make up a charge of -90.0μC ?
How many elements in a hand-full of sand ?
How many hours
How many languages can you speak?
how much does the raft move with change of position?
How much energy does light transfer to an object?
How much energy is used in heating water?
how much gs creates a 100 lbs punch to the head?
How much power does my car actually need to maintain speed?
How much should my tax return be?
How much the gas has increased the speed of the plug?
How old is i? (Imaginary number)
How should I select a Calculus class?
How should I think about the emf?
how the atmosphere pressure is generated
How to analyze band structure and the density of states?
How to approximate the rate of growth of an integer seq?
How to approximate the rate of growth of an integer sequence?
How to arrange/draw circuit diagram from fixed resistances
How to arrange/draw circuit diagram from fixed resistances t
How to avoid capillary action
How to avoid lab during PhD thesis writing
How to be fast in reading and understanding ?
How to be fast in reading and understanding?
How to become a math tutor
How to calc force required to steer an articulated vehicle?
How to calculate efficiency of Newtons Method
How to calculate equation system in Matlab
how to calculate equivalent inertia of an engine?
How to calculate magnetic vector potential?
How to calculate the angles that define the position your arm is in
How to charge a low amperage battery?
How to classify coordinate as S-L
How to control the speed of 1.5 Volt motor?
How to counter "everything is a construct" worldview?
How to create game that renders 3D objects fast?
how to design a rpm and torque indicator from a fan?
How to draw a curve in Creo that is defined by an equation?
How to drop terms in a Lagrangian?
How to entangle nearly 3000 atoms using a single photon
How to explain the overdetermination of Maxwells equations
How to find a point on line of intersection of 2 planes?
How to find Coefficient of Friction w/ Fa and mass?
How to find moment at a certain point?
How to find the shortest distance to a hyperboloid
How to find the total dB of two sounds?
How to find the Wronskian on Ti-89?
How to generate a pulsed signal on a function generator?
How to get rid of laplace of pressure in an equation
How to get specific frequency and time values for .wav file
How to identify the curve at intersection of level surfaces
how to make liquid nitrogen
How to measure mass of earth
How to number nodal and anti nodal lines
How to photograph a diffraction pattern?
how to plot band structure?
How to prove Kirchhoffs loop rule?
How to prove problem is P or NP?
How to quantify relatively simple experimental errors
How to quickly survey an exoplanet before colonization?
How to relate mass defect to kinetic energies?
How to show an equation with nth number of iterations
How to simplify behavior of a field-effect transistor
How to Solve Exponents that also has a variable with it
How to solve for a function that is asymptotic to a sequence
How to solve for b in a= b mod q
How to solve for first integrals of motion
how to solve Riccati equation for nonlinear system
How to split up a photon-neutron beam?
How to stop worrying about your exam?
How to switch on and off capacitance on a piece of conducting material?
How to test a 1.5 pound magnesium anode
How to test a coil for shorts?
How to tune two different PID controllers in a same model?
How We (US) Lost in Iraq and Afghanistan
How were early galaxies formed?
how would neutrinos affect fusion?
Howdy
Howdy yall!
Hub
Hydraulic motor torque for a home-built flight simulator
hydraulic pump/motor
Hydrostatic Pressure on Curved Circular Surface
Hyperbolic tangent function for terminal velocity with v0>vt
Hyperbolic tangent function for terminal velocity with Vo>Vt
Hyperloop - essentially new transport
Hypotheses construction for significance testing
Hypothesis: Can a photon be predicted where it will hit?
Hypothetical FTL communication black-boxes and causality
I am confused about how multivariable calc works
I am thinking of switching from a Physics BS to a Math BS
I can has introducshun?
I have an incorrect solution
I NEED AN ANSWER FAST!
I need help - motor speed control
I Need Help Finding a Job!
I need to transpose for the value of Q
I say a big thank you :)
I want to design Missiles for the navy what should i study
I want to teach "Measurement" to grade schoolers
ID Harmonic Oscillator in a Consent Electric Field
Ideal gas law combined with vapor pressure
Ideal Gas Law Question
Ideal opamp analysis
Ideal Step-up transformer
identity by using gradient
Identity of a Weak Acid
IE Irodov equivalent for Maths ?
If f(z) holomorphic...show that f(z) is constant.
If for n-dimensions f>=0
If Ford had developed technology like Microsoft........
If space cannot be compressed
If T unitary show H hermitian (and the reverse)
If we can move at the speed of light
If You Could Tour The Solar System At The Speed Of Light!
Im a very noob undergrad
Im having trouble "reading" math
Im having trouble understanding Lorentz transforms
im mew here.
Im Milan from Bosnia!
Im new
Im not sure I want to go into the field Im going into
image and kernel of a matrix
Imagine you were spinning in space
Imagine you were to stop the Hubble Telescope from orbiting
Implementing Trapezoidal Motion Profile Using Discrete Method
implication
Implicit Differentiation: Differentiating in Terms of X
Importance of the frequency of AC mains power lines
Impossibilty of hidden variables (Bohm
Improving PC Performance by removing Services but without deleting restore points
Impulse and Collisions
Impulse Problem
In Gibbs Free Energy
In quite the predicament as a new TA
In Search of Causal Relationships
In what way is "dark energy" more than "none of the above"?
In what ways do high altitudes affect speed of sound?
Incentives Question
Incident Angle
Inclined Plane
Inclined plane and pulley: how to know the accelerations direction
Increase of dark energy with expansion of universe
Independence of Energy and Momentum Conservation
independently of G
Index Notation - Quick one-line working
Indian Institute of technology for astrophysics
indirectly measure if particle spin is in superstate or not?
Induced current from changing magnetic field
Induced EMF
Induced tension magnetic field (B)
Induction and flux linkage clarification
Inequalities. Special relativity.
Inequality - Maybe not so bad?
Inertia effects of components on a car vs mass fixed in car
infimum)
Infinite sum of sines
Infinite well potential - changed bottom
Influence of Sun to radioactive decays?
Information as the key underlying physical principle
Initial development of set theory and determinism in QM
Inmendhams DraftScience + Vloggerdome Invitation
Inside protons: origin of the sea quarks
Instantaneous Acceleration from a Velocity-Time graph
Insulin Resistance and Cell Signaling
Integral curve fitting in origin
Integral Equations - Greens Function
Integral of (x-1)/(x^2-4x+5)
integral of cos(1/x)
Integral Over all Space for Charge Density - Exponential Fun
Integral regulator MC7805
Integral with sine(x) and x multiplied
integrals of the function f(z) = e^(1/z) (complex analysis)
Integrate 1/x^2+80x+1600
Integrating factor vs. Laplace. Engineering problems
Integrating Net Force
Integrating Using a Substituation
Integration of Multiple Variables
Integration using Euler Substitution
Integration using substitution
Integration Using Trigonometric Substitution...Help Needed!
Interaction with Fields
Interesting article about dark matter
Interesting Derivative Proof Question
Interference viewed in the focal plane
internal combustion engine -- improving the efficiency
Internal Energy Change
Internal Force Diagram for Rigid Body and Distributed Load
Interpretation of differentiation results
Introduction to Electrostatics -- Positive charges at the corners of a triangle...
Introduction to Numbertheory
Introductory mathematical induction problem
Introductory textbooks for Supersymmetry?
Intuition and existence for convex neighbourhoods
Intuitive content of Loop Gravity-Rovellis program
Inverse of a cubic matrix
Inverse Piezoelectric Effect
Inverse Solubility of Solid Solutes
Inverted V Tail Simulation
Iraqi unrest
is "explicit modeling" strict subset of parametric CAD?
Is "Roswell metal" at all a possible material?
Is "Western thought" primarily Aristotelian or Platonic?
Is 4GB of VRAM overkill for 1080p gaming?
Is a bachelor in Physics a good idea for Engineering?
Is a math degree worth it
Is anyone investigating about High Energy Physics?
Is Cosmology a Branch of Physics or Astronomy?
Is electrical engineering just rote memorization? Or am I
Is energy conserved?
is f positive or negative
Is gravity really weak?
Is it common for physicists to trash data?
is it possible to have zero velocity and zero acceleration?
Is it possible to scientifically discuss the dream world?
Is it possible to stop time completely?
is it possible to take off like the birds?
Is it possible to understand GR and SR on your own ?
Is it worth studying geometry during my summer?
Is it worth taking notes for physics/math courses?
Is Loop Quntuam gravity plausible formulation of quantum gra
Is Loop Quntuam gravity plausible formulation of quantum gravity
Is magnifying thermal power density possible with decay heat
Is medical physics a good career option?
Is my blue the same as your blue ?
Is My Idea Valid? Nuclear Fusion Power
Is my understanding about energy correct?
Is polarised light a result of destructive interference?
Is propeller pitch more related to RPM than aircraft speed?
Is sl(3
Is the collapse of the particle wave function?
Is the difference of two state functions a state function?
Is the force that keeps the Earth spinning...
Is the graviton the only thing to find in LQG?
Is the Kronecker delta linear?
Is the speed of light truly constant?
Is the The National Academy of Future Scientists ... legit?
Is the Universe deterministic?
is the universe truly expanding?
Is the wave function the invariant thing?
Is there a limit to wind power?
Is there a relationship between amplitude response and phase?
Is there a see-through material with low outgassing rate?
Is there any hope that textbook prices will ever drop?
Is there any refined experimental result on flux quantum?
Is there any scope for an Electronics and Telecom Engineer?
Is there even a scientific reason for this...
Is there such thing as one bit of information?
Is this possible for hanging objects from spinning sphere?
Is this question on heat right?
Is this quote from Steven Weinberg right?
Is torture a game?
is true?
Ising Model and Partition FUnction
Isochoric Process with Unknown Ideal Gas
Isoparametric Formulation; its elementary
Issue with building a full-bridge Inverter
Issue with radiated field
IV curve for voltage across shunt for probe current
IV curve for voltage across shunt for probe current (Helimak experiment)
Japan Earthquake: nuclear plants part 2
Java: Reading in file into an array
Job Interview Advice
John Podestas greatest regret - government silence on UFOs
John Wheeler Biography?
Joint density function
Joule thief : number of turns around the ferrite core
just got external funding! what now?
Just how strong is the Air pressure
Just trying to complete new member info.
K-Maps Prime Implicates and Essential Minterms
KCl and node voltages
Killing Earth with a cosmic flashlight
Killing tensor/vector very basic context question about consevation
kinematic question Pls help
Kinematics in polar coordinates
Kinematics in Two Dimensions
Kinematics Question
Kinetic Theory of Gases Derivation
Kinetics question: calculating rate constants
Kirchhoffs law in LC circuit
Kirchoffs law question
Klein Gordon Equation in Quintessence Models
Klien-Gordon equation to solve 4-vector problem ? (Particle)
Koenigsegg Regera - acceleration
kronig-penney model
Lack of physical understanding of Noethers theorem.
Lagrange EOM for 2 masses on a string
Lagrange equation: when exactly does it apply?
Lagrange Multipliers
Lagrange remainder theorem
Lagrangian and hamiltonian mechanics
Lagrangian for released double pendulum
Lagrangian invariance
Lagrangian Problem
Laplaces s equation in spherical coordinates
Laptop Decision Help
Laptop hard drive turning on and off
Large crater in Siberia
Largest and smallest possible values of a probability quest
laser saturation and gain
last line sometimes not displayed
late start
Law of Mass Action
LCAO question
Leading lines of development in LQG
Least Squares Derivation—Simple Algebraic Simplification
LED specifications
Left Brained Vs. Right Brained?
length contraction test in electrical circuits
Length of a missing side no angle given :(
Lenses Question -- image is to be the same size as the object...
Lenzs Law and multiple tubes
Let [...] be a countable number of finite sets. Prove [...]
Letter of recommendation from father
Level set vs level curve
LHC about to restart - some frequently asked questions
Life expectancy of Aqueous Flux going LowZ
Life in universe
light -- how light particles can penetrate through glass?
Light and PV solar panels
Light clocks measure conformal time - detailed argument
Light clocks time
Light pipes - is there a limit
light speed is not constant or accurate
Lightning Rocket Fuel
Limit as it approaches 0
Limit of windpower
Limit quote length
Limited Resolution Question
Limits problem
Limits question
Line and neutral in spike guard
line changing color latex tikz
Linear Algebra
Linear Algebra Book Recommendation?
Linear Algebra Proof using Inverses
Linear Collisions
linear momentum physics project game ideas needed
Linear transformation D:P2 --> P2
Link between SR and a magnetic field
Links to Physical Turbulence
Lipschitz condition and Leibniz rule
List of Neutron Moderators
little confused with tensor index manipulation
Load for bolts
locally convergent
Locomotive
logical explanation for quantization
longtime lurker here
Look at one point - can you make the train change directions?
Looking for a cost-effective filter for fluorscence
Looking for an example of a Successive over-relaxation
Looking for rigorous General Chemistry textbook
Looking for rigorous text on dynamical systems
Looking for what I thought would be a simple Pereability Q
Loop the Loop with Frictional Work
Loops 15
Lorentz contraction in circular particle accelerators
Lorentz transf. of a spherical wave in Euclidean space
Lorentzian Manifolds in GR
Lost and unsuccessful engineer.
Lotka-Volterra model Eulers Method
Low tech telecommunications (light)
Low Temp Limit: Paramagnet v. Einstein solid
Low-Order Approximation of System
Lyman Hydrogen splitting
Lz and k
Macro-states and dice
Magnesium Reacting With Acids
Magnetic Field from a Single Electron
Magnetic Field inside plate
Magnetic field of hollow cylinder
Magnetic fields
Magnetic Fields / Force / Current
Magnetic Flux question from masteringphysics
Magnetic flux. Dont know where to start
Magnetic Force of a Right Triangle influenced by a Line
Magnetic force on a charge outside of toroidal coil
Magnetic levitation using alternating current
magnetic semiconductors
Magnetic-field energy question
Magnetising current of inductor and transformer
Magnetism of Solids
Magnitude of contact forces
Magnitude of force on point from wire
Magnitude of horizontal forces
Magnitude of velocity and impulse
main issues
Major Quake - M7.5 Now
Majoring in Philosophy to becoming a Software Developer?
Make an android app in eclipse using python.
Making a Nylon - Fibre Composite
Making a Voltron out of DNA
Making physics relevant in High School
Making use of Titan
Manifold/sub-manifold metric theorem Q- Schwarzschild metric
Many Worlds Interpretation
Mary Boas
Mass and Ring
Mass dimension of coupling constant -- always an integer?
Mass equivalence solved?
Mass needed for static equilibrium compound pulley system
mass of a moving proton
Mass of an electron
Mass on a spring.
Massive cable and massive pulley
Massless string pulled by a force
Masters Biophysics Canada
Material opaque to IR but transparent to visible light
Math and Chemistry?
Math in Moscow: Number of students per semester
Math Log problems
Math of environment-particle entanglement
math requirements of QM by J. J. Sakurai?
Math REUs 2015: SUMSRI or Fairfield?
Math teaching
Math Textbook Series
Math Textbook Series.
Mathematic subjects to self study.
mathematica code for multinomial expansion
Mathematical Methods in the Physical Sciences by Boas
Mathematical Physics vs Theoretical Physics
Mathematical QFT text
Mathematical solution needed for this biomechanics problem
Mathematics book thats not a textbook
Mathematics useful for Physics classes
matlab taylor series script
MATLAB: input arrays into function
Matrices and systems of equations
Matrices and wedge product concepts needed.
Matthiessens rule
Maximal duty cycle.
Maximum kinetic friction-combined with a projectile problem
Maximum shear stress on a given plane?
Maxwell distribution
Maxwell error -- simulating transformer core losses in transient "Current leak to the air"
Maxwell field in general relativity
May the Mass time Acceleration be with you!
Mean value theorem for trigonometric function
Meaning of the quantum field
Measurement of Hydrogen 1s 4s transition frequency
Measuring density with ultrasonics
Measuring rotational speed
Measuring Tension Between Train Carriages.
Mechanical Principles (Statics) help please
Mechanism of feeling hot
Medical Physics Residency backup plans
Meet a Mentor: D H
Member Photo Thread
mercury in air
Mere approximation problem or something else? Thermodynamics
Mesh Analysis KVl
Method of joints - Truss
Methods for Modeling 2d Rocket Flight
Metric tensor with diagonal components equal to zero
Micro- and Macroeconomics
Micro-cracks in Belgian RPVs
Microwave Engineering -- Noise figure of a cascade
Mind-Body Problem
Minimal force to turn over a tube
Minimal Surface between two different coaxial circules
Minimizing the maximum bending moment
Missing Matter Problem and Galactic Flows
mistake?
Mix steam with colder water
Mixing household bleach with urine
Mobility of 2D material
Model for Friedmann Equations
Modeling boiling in a closed container with a small hole
Modeling Hydrophobic Interactions
Models of the Reals of All Cardinalities and Equivalence
Mods deleting threads
molar enthalpy
Moment of Area
Moment of inertia at CoP
Moment of inertia of a solid sphere
Moment of Inertia of a Square: Problem with Certain Method
Momentum
momentum cutoffs free field theory
momentum operator eigenstates/eigenvalues
Momentum operator in curvilinear coordinates
Momentum-Parity
Momentum: Jumping on a trampoline
Monatomic Hydrogen Ion Gas
Monday morning funny - Friends are like .........
Monopole Mass Musings...?
moon
More Connected Capacitors
More evidence that the wavefunction is ontologically real?
More Valuable To Programming Employers? Math PhD Or XP?
Morris Klines book good for multivariable calculus?
Most general order-preserving function
Motivations for the C*-algebra of observables?
Motor that can move possibly up to 4kg
Movement of particles on vibrating plate
Movies on interstellar travel
Moving stars (light spectrum)
MQF or PhD physics? Decision for Fall 2015
MSc in London
MSE
Multifractals
Multiplayer Refraction
Multiple linear regression
Multiple RLC problems
Multipole expansion
Multivariable Continuity
Multiverse and Eternal Inflation Disproved?
My favored scientist quotes
My sourdough tastes like onions
Mystery of strange radio bursts from space
Mythbusters: Blow your own sail
n-body simulation
Nanofabrication in the automotive industry?
NASA: Well find signs of alien life by 2025
NASAs Solar Dynamics Observatory
natural connection
Natural Frequencies and Harmonics
Natural frequency of 3 coulomb force bound particles in EF
Natures actors
Neanderthal fossils... never frozen?
Near-instant Acceleration / Clocks
need a push
Need Advice from Engineers (ME
Need clarification on adiabatic process and heat capacity
Need data for galactic rotation curves
need help
need help ASAP!(Due in hour)
Need help creating a gasoline electric bike
Need help in applying Binomial Aproximation when y>>L?
Need help in thermodynamics!!!
need help please
need help re: air pressure to fluid pressure
Need Help with a mechanical engineer
Need help with Calculating Averages
Need Help with physics note
Need some good physics textbooks
Need suggestions on transfering compressed air to rotating o
Need to find the length and deflection of bending element
need to improve)
Needlestick Prevention
negative pressure or density?
neglecting brownian motion for certain particle diameters?
Neural Net to play tic-tac-toe
Neutral intermediate boson to neutrinos are flavor preserving
Neutrino mass paper
Neutrino physics book
Neutron diffusion around thin absorber
Neutron flux in ITER
Neutron Isomerie
Neutrons in electromagnetic fields
New Calc student w/ a derivative question
New experimental proof of wave-function collapse?
New guy!
New help in contourf matlab
New Horizons
New Horizons NASAs mission to pluto
New Member
New member from Houston
new member here
New member HMatsu
New Member Saying Hello!
New member!
new member/student here
New to this
Newbie :)
Newbie just arrived
Newbie to the nerd mecca :)
Newtons argument
Newtons First Law of Motion
Newtons first law question.
Newtons gravitational formula wrong?
Newtons Method generalized to 3 dimensions
Newtons second law (friction and pulley)
Newtons Second Law. Involving an airplane.
Newtons to Watts to Joules
Nice to join you!
no cycles in permutation N... how to calculate sgn(N^2)?
No idea how to word this. Finding the gradient with vector?
No ping in online video games
No Sound out of Windows 8.1 PC
No such thing as instantaneous speed?
Nodal Analysis
Nodal lines and single slit experiment
Nodes in a standing wave and energy transmittance
non-constant Cosmo-Constant (controversial?)
Non-ideal opamp
Non-separability : basis dependent
Non-Uniform Charge
None Gauge forces
Nonrelativistic free particle propagators
normal force
Normal Force (Reaction Force)
Normal force cancels out the force of gravity?
Normal shift
Normal-Tangential Coordinate for Ball Moving in Circle
Normalization and expectation
Normalizing Wavefunction on a Ring
Not sure where else to ask this -- Can I teach myself Diff Eqs?
Nova in Sagittarius
Nuclear and Theoretical Physics
Nuclear energy in USA: why only 19%
Nuclear Engineering vs Mechanical Engineering
Nuclear Form Factor - Scaling
Null
Number of escalator steps
Number of Events Detected (Neutrino Collisions)
Number of linearly independant motions
Number of ways to fill 3 boxes with 5 balls
Number theory GCD relatively prime question
Numerical Approximation and addition of new data points
Numerical Integration for Magnetic Field of a Loop of Wire
numerical solving convection-diffusion problem
NY Times: Researchers Report Milestone in Quantum Computer
Objects in Mirror closer than appear Concave or Convex
Obtaining a maximum resistance given a set of resistors
Ode45 for solution of 4 d.o.f. problem
of pure learning for bachelor degree?
Ohmic contact or not?
Ok
Olá
old
on average
On posting handwritten images of questions over typing them up.
on standardization of normal distribution
On the dimensions of the natural world
On the origin of fermionic field.
On the orthogonality of Sturm-Liouville eigenvectors
On what does the cfm of fan depend?
Once bitten
one liners
One Picture
One submersible water pump and two tanks?
onformation
online
Online_Courses VS Texts/Manuals
only one R value known
Op-amp Circuit with virtual Ground
Opamp shaping amplifiers
Open Access Publishing
Operators for comparing superposition components; definable?
Operators for measuring superposition component distinctnes?
Opposite NPN transistor
Optical Character Recognition using Neural network
Optical Computing questions...
Optics - Newtonian telescope
Optimal Dragster Exhuast Pipe Angle
Optimize code for a blob-detector (MATLAB)
or Brandeis?
Orbital Shielding
ORC Heat Recovery Hybrid Electric Vehicle
Order of Math and Physics Courses
Origin of harmonics in Helmholts-type resonators
Orion and comet Lovejoy Q2
orthogonal coordinate systems - scale factors
Oscillating current along antenna
Osmolarity calculations
Osmotic pressure=hydrostatic pressure in Ushaped tube
Outlook for imaging physicists
Output waveforms with a clamped capacitor
Owning a Duplex and Attending Grad School
Panel Discussion on Communicating Science
Paper: Attention decay in science
Papers on Calculus of Variations
Parachute Problem
Parallel Mutual Inductances
Parallel RL circuits
parameters-assign-matrix option disappear
parity conservation
Particle acceleration and eVs question from a newbie
Particle decay/Four momenta
Particle Model of Thermal Energy questions
Particle Physics Self-Study
Particles loss of energy
Path integral formula so hard
Path of a Projectile in Polar Coordinates
Path Of Least Resistance
Path of the end of a string wrapping around cylinder
pd accross capacitance
peak of cross section
Pendulum forces component form
Pendulum Question?
Performing Integrations over Moduli Space for String Theory
perimeter institute 2015 summer undergrad program
Period of oscillation
Period of the motion
permeability of a filter
Perpendicular geometric objects
Persistence
Peskin p. 160
PF
PF Photo Contest - Its The Beatles!!!! (2/21-2/27)
PF Photo Contest - Life Is A Highway (1/31-2/6)
PF Photo Contest - Pi Day (3/14-3/20)
PF Photo Contest - Red Eye Gravy (2/28-3/6)
PF Photo Contest - Spinning Like a Top (3/21-3/27)
PF Photo Contest Winners
PH buffer calculations
pH of a Solution
Ph.D. or a second Master?
Pharmacokinetics of drug distribution
Phase change during expansion
Phase Delay Changes with Physical Length Changes
Phase shift upon reflection
PhD in Germany or USA
Photodiode current estimate in an Infrared Proximity sensor
Photoelectrochemical Cell: Can they work with external poten
Photograph of (optical) caustics
Photon energy of a certain material?
photon free space
photon mass and E=mc^2...
Photon-photon collisions and photon "decay"
photonic crystal
photons -- can they have mass and travel at c?
Physical applications of Riemann zeta function
physical constants
physical formulas
Physically what is phase of an Image?
physics
physics after engineering
Physics as a hobby vs. as a career
Physics Forums
Physics Forums Privacy Policy
Physics Forums RSS Feed
Physics Forums!
Physics Minor?
Physics of deacceleration of rolling vehicle
Physics or engineering?
Physics PhD at 50
Physics podcasts
physics presentation help
Physics TED Talks
Physics vs. Engineering undergrad for industry aspirations?
Physics w/Calculus II Electric Potential
PID controller - order
PID controller for current control by adjusting the PWM
piston and oil
places to go/see
Planar Density of (0
Planar wave expansion cancelling through interference.
Planck 2015 Data Release
Planck limit
Planck Stars and GR black and white holes
Planetary atmospheres
Plank with block of mass on top executing vertical SHM
Planning to buy a first telescope?
plate fin tube heat exchanger design procedure
please -- particle moving with a uniform acceleration...
please ...
Please explain curious behavior with my rainwater barrel
Please explain the statement "the big bang happened everywhere at once"
Please explain Venturi effect
Please help clarify use of resistor in this circuit
Please help me finding this centroid of a graph. Thank you.
please help me to understand "complex number"
Please solve x^2+2^x = 100
Plotting from equation
PM sychronous motor parameter measurement
PM Synchronous motor Id-Iq current control
PN Junction Question
Pneumatic Cylinder testing for leaks...
Poincare Recurrence Theorem
Point belongs to the boundary - real analysis
Point Charge Given Field Maps
point of contact of circle an tangent
polar form of phasor
Polar Integral
Polarization and energy level transitions
Polarization and refractive index
Polarization of light
Poly-phase Induction generator
polynomial fractions simplest form?
Polypropylene (pp) absorption of radiation.
Pop can catapult
Popping noise from speakers when I turn the fan off
Population Dynamics: Logistic Model (Differential Equations)
Position function and its derivations
Position function and its derivatives
Possibilities with Comp sci + math or comp sci + stats?
Possibility of multiple moons in Earth-Moon system
Possible decay states strong interaction
Postgraduate calculator
Potential as a Greens Function
Potential difference between three capacitors in series
Potential drop inside a circuit as a E=gradV
Potential from a charge moving at constant velocity
Potential of charged cylinders
Power dissipated by a resistor in a circuit
Power Generation (Optimization) in a Car Engine
Power in a simple electric circuit
Power learning - 16 hours a day
power output of car
Power relay contact arcing
Power required to generate a wave
Power rule of an integration [beginner]
Power Series
Power Supply voltage drop issue
Power transmission - Pulleys
Poynting vs. Current
Practical application; wire coil dripping.
Practical personal flight
practical?
Practice using K-Maps
Pre-Med Students and Physicians: How do you work w/tremors?
Precession of Earths axis and alignment with stars
Preparing for college
Present for favorite professor
Present for finishing PhD
Pressure regulator affect flow rate through pipe?
Pressure regulator flow rate
Prevent [i] from italicizing?
Prime Numbers as Ortho-normal basis for all numbers
Principal stress ?
Principle of equivalence
Prism -- brightness of a ray of white light as it passes through a prism?
Probability Conditional Expectation
Probability distribution
Probability distribution for a rotating gas
Probability favours worse odds?
Probability of a point in a square being 0.5 from perimeter
Probability problem
Probability Question
Probability question involving intersections
Probability with permutation
Problem Book in Relativity and Gravitation
Problem on Logic
Problem registering my Office 2003
Problem when closing preview
Problem with Firefox on my new laptop
Problem with motion in a circular path
Problem with wave optics - diffraction grating?
Problems with Capitalism?
Production of inteference
Programming a cyborg just by typing words?
programs or games that uses GR
Projectile Motion here then simulated in a different gravity
Projectile Motion Problem
Projectile Motion question
Projectile Motion Using Vectors
Projectile motion- solve for initial velocity
Projectiles problem
Projection operator and measurement
Projects on CANTERA software
proof of a relation in magnetic field for a charged particle
Proof of an algebraic theorem
Proof of Program Correctness
Proof verification of EF/MF phases
Propagation of error: exponents
properties
property.
Proportional Counter
Proportionality of frictional force
Proteins
prove arccos(-x)+arccos(x) = pi
Prove evolution of Hubble parameter
Prove Set of $\all$ onto mappings from A->A is closed
prove the integral of f >=0
Prove This
Proving ##\psi## can be real or not
Proving a Matrix to be nonsingular.
Proving a transformation is linear
Proving f = 0 almost everywhere
Proving that Columns are Linearly Dependent
Proving the fundamental theorem of calculus using limits
Proving the property of entrophy
Pseudo forces
Pulley and Rope
pursuing physics b.s.
Pushing a kid on a swing
Putty on a Pivoting Rod
PV Work for Electrolysis Using Van Der Waals Equation
PWM and Pull up/pull down
Pyrite roasting. Mass balance with chemical reaction
Python help with sequences and elements?
Python: print problem!
Q about 2nd derivative test for multivariable functions
QCD vs. Spatial Expansion
QED vacuum and Lorentz invariance
QFT
QFT: Bogolyiubov transformations and KG inner product
QM linear algebra true or false
QM: Work done due a time dependent perturbation
QR Factorization
quantum bose einstein effects on a macro scale?
Quantum Cat question
Quantum computer more closely mimics a nervous system?
Quantum equations suggest the big bang never happened
Quantum Genetics Information
Quantum harmonic oscillator: average number of energy levels
Quantum Interference of atoms
Quantum Mechanics: Eigenstate
Quantum Mechanics: Eigenstates of ##\hat{\mathbb{S}}_x##
quantum state of system before measurement
Quantum time?
Quantum treatment of nonlinear susceptibility
Quark Scattering and Quark Flow Diagrams
Qubits and quantum evolution
Question about derivation of Euler-Lagrange eq.
Question about derivative of an integral
Question about empty sets in set theory
Question about finding electric field using slope on excel
Question about LaTeX!
Question about stall warning system
Question about static equilibrium
Question about Summer School
Question about Tesla
Question about the De Broglie Hypothesis
Question about the Nyquist sampling rate
Question about the periodic table arrangement
Question About Torque and Stepping Motors
Question Beta Distribution ch.6 prob 48 in 7th edition Ross
Question for design engineers
Question of Gravitatation... Do see to it ..
Question on a policy statement
Question on averages
Question on changing limits of integral
Question on inverse functions
Question on the Lagrangian
Question regarding differentiation of x with respect to x
Question regarding inelastic collisions
Question regarding the otto cycle
question regarding weight and paddling on the water
question with acceleration vector
Questions about circuits
Questions about DDWFTTW
Questions about Q point-transistor
Questions about the Big Bang
questions about the error in the slope of a graph
Questions for Nagin Cox at JPL!
Questions on basic forces
Quick derivation question Quantum Mechanics
Quick expression on geodesic equation
quick lens problem
Quick Question
Quick question about centers of instantaneous velocities
Quick question on Baryon spin states
Quick question on Geodesic Equation
Quick question tensor density transformation law
Quick stress calculation with one force on an I Beam
R-Simplexs the number 5 and prime numbers.
R.I.P. Dr. Val Fitch
R) a subalgebra of sp(4
R)?
Race car suspension Class
Rack and Pinion Calculation help
Radiant intensity
Radiated power of electron in fusion device?
Radio Shack Bites The Dust
Radius and Mass of an Unknown Planet
Radius of curvature along a spring
Radius of Curvature along a spring?
Ragdoll physics without 3rd party libraries
Rain on roof of the car and on the front glass
random power generation thought...
Random question -- if a laser beam did not spread out...
Random Thoughts part 4
Randomized Complete Block Design - Scheffe Multiple Comparison
Rankine Cycle Analysis Help
Rapid Expansion of the Universe
Rate constant and partial pressure
Rate of precession caused by mountain on spherical earth
ratio between electron to proton
Ratio of water pump capacity to static header height
Rayleigh Flow and Stagnation Conditions
RC circuit problem
RC circuits
RC-circuitNeed help understanding why I get the wrong answer
RCL Circuit: 2 Resistors
Reaction Rate and Pressure
Reading in file into an array Java
Reading list for learning Quantum Mechanics please
real analysis
Real and complex vector spaces
Real step-size in do loop-fortran
really
Recent news on Ettore Majorana?
Reciprocal lattice vector
Recommend me physics book
Recommendations for Stress Analysis using Photoelasticity
Recommended masters programs?
Red shift due to lensing?
Redefining Exception Java
Reduction in the time range of a species
Referential Integrity Details.
Reflectance or reflectivity spectrum interpretation
refraction through a glass slab + reflection off a concave
refraction through a glass slab + reflection off a concave mirror
Refraction through an optical fiber
Regenerative braking on Locomotives with AC transmission
Registration for GRE tst
Rejected by Best Fit - Reapply
Relabeling spin or angular momentum operators
relating it to applied electric field
Relation between torque and rpm..
Relation between torque and rpm...
Relationship between electric energy and force
Relationship between electric potential and electric field
Relationship between resistance and heat
Relationship between size and frequency of an oscillator
Relative Motion Analysis: Acceleration
Relative velocity
Relativistic treatment of the magnetic force from a current loop.
Relativity and Circular Magnetic Field
Reliable data transfer
Replacing a capacitor in my DVD player
Representations of semi-simple lie algebra
Representations on Hilbert space
Representing the Rate of Production?
repulsion of magnets
Reputation of Imperial College London in the US
Required backround for quantum cosmology
Required force to rotate the Engine piston
Requirements prior to Quantum Mechanics
Research in Differential Geometry
Research Question - How to find novel research ideas?
Research theme about semiconductors involving programming
Resisters: what will give me a constant voltage
resistivity and conductivity
Resolving in the vertical direction and along the direction of the normal force
Resonance in string instruments
Resonance of drum shell
Resultant acceleration Question
Reverse Saturation Current in P-N Junction
Reversible adiabatic processes with non-ideal gas
Review for Graduate School
Rewrite the trigonometric expression as an algebraic equation
Rf basics
Rigid body motion problem
RIP Bob Simon
RLC Circuit in Series
RMS and average current triangle
Robin boundary condition for cooling
Roller Coaster Loop Loop
Rolling in a cone
Rolling Motion Up an Incline
Rope tangent angle over pully given position of offset load
Ross ch.6 problem 26 Joint Distribution of Random Variables.
Rotate a three-sphere so every point moves in R^4?
rotating electrical mahines
rotation period of electron orbiting a proton
Rotational energy on an incline
rotational mechanics
Rotational Motion - Disk-Disk Collision problem
Rotational Period of Large Body
Rotational spectrum assignment
Rotational Spring Arbitrary Motion
router
Rudins Principles Theorem 1.11 (supremum
Run Javascript after DOM is ready
Runge Kutta Method
Running 3 motors in circuit
Russian opposition leader
Safety: Capacitors in Subwoofer
Sample preparation of sunscreen for use in UV-Vis
Sates in band
Savonius wind turbine
Scalar potential for magnetic field
Scale Factor
Scaling - Inverse relationship between uncertainty and mass
Scams
School Funding in Kansas....
Schrödingers cat explain color charge?
Schwarzchild metric spherically symmetric space or s-t?
Schwarzschild extension coordinate transformation algebra
Schwinger or Jackson?
Science Job Salary Resources
Science Jokes
Scientific Laws for Engineering Materials
Scintillation detectors output
Scribble pad along with normal posting
Searching a particular forum
searching for soft iron core
Second order curiosities: MPP
Seeking Recommendation on Multivariable Calculus (theories)
seeks non-traditional career options
Sehaj!
Seismic waves
Selecting Appropriate Damper
Self lock: conditions to make it work
Self-study graduate QM
Self-studying mathematics - Discussion
Separation of variables to solve Schrodinger equation
Sequence and Series Terminology
Sequence and subsequence - real analysis
sequence of sequences convergence proof
Series with binomial coefficients
Set configuration definition
Set of points in S^3
Set Theory Question
Set theory research
Shaded Pole Motors
shaft design problem
Shape of Universe - What would a very long stick do...
Shear Force Diagram
Shear Stress due to bending
Shear viscosity and Capillary Rheometer
Shielding simulation and nuclide vector
SHM: Equation relating acceleration and displacement
Shooting method for BVP
short Introduction
short question
Shortest distance between two points on a sphere
should i add a Phosphorus supplement to my diet?
Should I apply for a job I dont want?
Should I work with a renowned Physics prof Being an EEE?
Should Someone pursure career based on skill or happiness
Show it belongs to sigma algebra
Show that the gravitational potential V can be expressed as
Show that the set S is Closed but not Compact
Show the equality of two expressions
Shut up and calculate wave guides
Side lengths of inscribed triangle
sigma=N*e*mu with N surface density
significant figure help?
Silicon oxide on the moon
Silicone options for for creating a baby bottle nipple
Simple Algorithm Not working.
Simple application of Coulombs Law/Equation
Simple differential equation
Simple explanation of group generators
Simple Harmonic Motion
Simple Integrated Circuit Question
Simple no-pressure cosmic model gives meaning to Lambda
Simple question about frequency
Simple question about moment of inertia
Simple question on W boson decay products
Simplified Method of Combustion Turbine Supercharging
Simplifying a Function Prior to Finding a Derivative
Simulation of Airless Tire
Simulink help for getting a frequency I can use as an input
Sine wave relationship with physical waves
Single stage amplifier with current mirror biasing
Singular Value Decomposition
Sinusoidal alternating current/Homework
Sixty men can dig a post-hole in one second
Sleep-deprived graduate student
Small Electric Motor question
Small Machined springs
Smallest Energy Transfer
Smolin: Extending dualities to trialities (deepens dynamics)
SN1 reaction
Snubber circuit
so you can put thermostat lower upstairs
soccer ball at 4.3m
Sodium Clorate -- what is best way to make this Weed Killer...
Software to draw graphs and other pictures?
Solar Flares and Solar WInds
Solar System Origin
Solenoid Electricity Generator
Solenoid inductance.
Solid State Physics: X-Ray scattering
Solo Physicists
Solubility Rule Question
Solution to Schroedinger Equation for a huge hypothetical...
Solving a 6th degree equation
Solving a first order circuit
Solving an equation
Solving for k
Solving for probability density (Griffiths 1.3)
Solving Laplaces Equation for 2D isosceles right triangle
Solving non-linear ODE
Solving the equation of a line
Solving the Schödinger equation - R.Shankars PQM
Solving this space-time Metric
solving x for ln and e
Some easier equotation for gravitational time dilation?
Some help on Compressed Air Energy Storage
some questions
Some quick ideal diode analysis
Something about calculating the Age of the Universe
SOP vs POS
Sound Doppler shift asymmetry confusion
Sound intensity/Ear drum problem
Sound: Stones falling from cliffs
Source of Magnetic component of light
Source of new stars
Soyabean Thresher
space may be an illusion?
Spacetime diagram problem (spacelike intervals)
SpaceX rocket landing attempt...
Special Relativity
Special Relativity causes
Special Relativity Rest Mass
specification for Microscope ?
Speed of a beryllium nuceleus after acceleration
Speed of light postulate and clock synchronization
Speed of light vs speed of sound
Speed of Muons
Speed of time
speed parameter β and Lorentz factor γ
Speed through the Center of the Earth
Speed Time Estimation from a video!!
Speeder and Cop Question
Spherical coordinates - phi vs theta
spherical trilateration
spiders webs.
Spin time development
Spin-Charge separation seem to have been experimented
Spindle gearbox: milling machine tool speed changer
Splitting Fractions (Integrals)
Spooler/Winch Braking
Spring constant and SHM
Spring launcher equation to find x
Spring loaded door pusher for Chamber
Spring Maximum Length
Springs Assignment
Square wave and sine wave
Squared in e=mc^2?
SR explanation of Magnetism
Stability of carbocation
stack struct function
Stagnation pressure
Standard candle - in question - affects distance estimates
standard enthalpy of formation water
Standard Free Energy
Standard matrix for reflection across the line y=-x
Standard Reduction Potential Changes in Regards to Acidity
Star Trek icon Leonard Nimoy dies at age 83
States in energy band
Static electricity shock: Can it ever be lethal?
Statics
Statics -- A pulley is free to move on the cable...
Statics Question
Statics Question -- Bar and roller resting on a circular surface...
Statics- determining reactions
Stating Newtons second law
Stationary/ Static Conditions Metric?
Statistical Physics: Cubic lattice of two molecules
steady wave eq and fourier transform
Stealthy Re-entry
Steam consumption calculation on a steam exchanger
Steepest descent vs. stationary phase method
StemWiki Hyperlibrary
Stephen Hawking and Zero Energy
Stern - Gerlach experiment with electrons
Stern Gerlach term in the Pauli Equation
Stimulated Emission = Stimulated Absorption
Stock Markets
Stokess Theorem and the Right Hand Rule
Stone Weierstrass application?
Strained Eye
strength of material
Stress and Strain Problem
stress in a bending beam
Stress in a squeeze ball
String Theorys inconsistency with Relativity
Strings in python
structure of generated sigma algbra
struggling to get by.
Struggling to understand a field theorms corollary
Stuck with tensors
Studying for the pGRE seems hopeless
Stupor Bowl
subbands in semiconductor band structure
Sublimation temperature of water in vacuum = 150K ?
Suffering from panic attacks during test
Suggest one way of sizing the transistors of the logic
Sum of exponentials: non-iterative approximate solution?
sum question
Summation of exponential terms
Suns heat on Earth in summer and winter
Superbowl 2015 Predictions
supercapacitor charging??
Superconducting magnetic energy storage
Superconductor science fair project?
Superheated Steam Turbine - need help on a question please
Supernova prediction: SN Refsdal
Superscript Formula in Excel Function CONCATENATE
Surface area about axis
Surface area of a curve
Surface Barrier in Type 2 Superconductors
Surface Friction and Energy Modeling
Surge Pressure Stagnation Pressure Static Pressure Bernoulli
Suspended beam
SUSY leptons and quarks
Suzuki Cross-Coupling work-up question
switch
Switching careers to Medical Physics UK
Switching question.
Symmetric and idempotent matrix = Projection matrix
Symmetric groups proof
Symmetry in integrals
Synthesis of a four bar linkage with a ternary couplar
Syrian unrest
System of diff eqs modeling salt in tanks
system of diff eqs modeling tanks of brine
t
T-89 not giving pi back as cos(-1)
T-L?
Taking the derivative (no numbers)
Taking the time time derivative of a curl
Tan^2(2x) and Tan(2x?)
Tangent plane confusion
tangent to a curve
tangent to a curve.
Tangent vectors as directional derivatives
taylor series
Telecentric entrance pupil - Optics
Telescope probes and warp track...
Temperature and entropy for two gases mixing
Temperature and Pitch question
Temperature at beginning of Electroweak Epoch?
Tension in string and oscillation
Tension on bolts in anchor plate on concrete wall
Tension on two cables
Tension Problem
Term to express a range of fluctuation
Tesla Wardenclyffe news
Test for Normality of Residuals. Is this how it Works?
Testing how much random is my sample
Testing the reduction of input to output ripple of MC7805
Testing the reduction of input to output ripple of MC7805.
Testing voltage regulation of MC7805 using active load.
The "Intelligence" behind quantum physics
The "x=x-vt" in Galilean/Lorentz transformation
The (asserted) equivalence of first partial derivatives
The 1904 plane of the Wright Brothers a bit strange...
The acceleration of a ramp and mass
The advantage the constant-volume combustion type gas turbine engine
The Angular Velocity in Belt Drives
The average velocity of the point - numerical value of t
The Best Textbook for a Good Understanding of Mathematics
The Cooper pair box Hamiltonian in the matrix form
the curvature mean
the distribution of energy and angle of backscattered SEs?
The Engineers Essentials
The expanding universe
The First Three Minutes - Steven Weinberg
The Food Thread part 2
The future of bioengineering
The future of our universe
The Great Outdoors
The ground state e- is the largest negative value
The height at which the gravity acceleration is 5x smaller.
The importance of velocity in simultaneity
The Impossibility of Intelligent Life
The impossibilty of nothing
The Initial Reaction of a Voltaic Cell
The LHC will climb into energy
The Mathematical Physicist
The Mathematical Structure of QM and the Stern Gerlach
The Nuclear Power Thread
The old Newtonian gravity
The Physics of Power on a Bicycle
The possibility of time travel?
The problem E-Field of midpoint
The Pythagorean Theorem
The rectifier diode at Radio Shack 276-1141 Mfrs #?
The renaissance square
The results of integrals?
The Should I Become a Mathematician? Thread
The smallest angle flashlight beam can make with horizontal
The source of all energy is the Sun?
The standard of living is going down for the average American
The Theory of Everything (string theory)
The Warp Drive Problem
Thefts
then MS in electrical ?
then now and in the future
Theorem for limits?
Theoretical/mathematical physics at Cambridge
theoric question speed of light
Theory about speed of light and how to be faster
there!
Thermal Physics-Change of energy from compression
Thermal Physics: Energy change due to compression
Thermodynamic Formulas
Thermodynamics - engines question
Thermodynamics - Internally reversivble process
Thermodynamics cycles quick question
Thermodynamics equilibrium problem
Thermodynamics flow processes
Thermodynamics: Enthalpy vs. Gibbs Free Energy usage
Thermodynamics. Irreversible and reversible Process
thermodynamics.....heating water from a copper tube
Thermoelectric devices and entropy
Thermophysical properties of iron oxide scales
Thevenin and Norton equivalent circuit
thevenin wrong
Thevenins theorem
Thinking of giving up on college
Thinking outside the box
Thomson and Rutherfords experiments
Thought experiment on movement.
Thoughts on Peer Review
Thoughts on religious versus non religious universities?
Thoughts On University of Missouri Science and Technology?
Three charges at corners of equilateral triangle
Thrilled to find this forum!
Throttling process (Joule Thomson coefficient)
TI Nspire CX CAS vs HP Prime vs Casio FX-CP400
Time dilation in the field interpretation of GR
Time dilation why or how
Time dilation: speed relative to what?
Time direction in LQC bounce
Time Evolution for particle with potential suddenly removed
Time frames and general relativity
Time independent schrödinger equation query
Time of a falling object when the force of gravity isnt constant
Time travel into the future
Time-ordered product of real scalar fields
Tinkering with equations
To be a specialist or generalist in engineering?
Today I learned
Too late for a 16 year old to pursue a career in Physics?
Top 1n e^10 reasons e is better than pi
Topics in Mechanical Engineering
Torque and reference frames
Torque on cylinder due to current in loop
Torque Problem (confused)
Torsion pendulum in Cavendish experiment
Torus material
Total Electrostatic Energy in a system of charges
Total kinetic energy
TR-3B "anti-gravity" simplified
Tracking down Phil Trans xxxv 637
Trajectory of a turning particle
trajectory of centre of mass
Transactional Interpretation (possibilist)- popular book coming
Transfer? Seeking Advice
Transferring Liquid Helium to Another Container
Transformer in an adapter
Transformer inductance a function of mu only?
transformers in parallel
Transforming predicate form to quantifiers
Transient heat conduction of a semi-infinite solid
Transistor as an amplifier (doubt)
Transition Prbability
Transmission line question
Transverse Waves
Transverse waves on string
Trig identities
Trigonometric Circle : f(x) = cos(2x+1)
Trigonometry identities and equations
Trigonomic Functions
Triplet ESR in aromatic molecules
Trouble finding appropriate potential function
Trouble understanding Fermats principle of least time
Trouble with work derivation
Trp Operon Mutations?
Truck collision with a resting car
True?: Heat rises
TRUE/ FALSE Glacial Question
TRUE/FALSE light question
Trying to Convert an Equation into an Ionic Equation
Tug of war (in a vacuum)
Tunneling with an alpha particle
Turn Ipod Touch into IPhone
Turning circuit in mobile handset system
Tutoring Physics? (one bad experience
Twilight days
Two bikes
two blocks on inclined surface
Two cylinders: free to fall and rotate
Two discs rotation question
Two electromotive forces existing at the same time...how?
Two equal-mass stars orbit each other
Two masses on two inclined planes. What is mag. of velocity
Two objects meeting
Two ODEs which are coupled
Two Velocities in the Lorentz Law
Two-port network z-parameters
Tying to use Zangwills EM book for multilayer R and T coeff
type "graph paper" needed?
Type Ia Supernova not Standard Candles? Im confused....
Type your username into google and post the results
Typical twin paradox problem
UC Santa Barbara
UChicago or Columbia for Undergrad Physics
UCLA MS in Engineering (Online)
Ukrainian mess
Ultimate pi moment tomorrow morning
Ultimate stress vs Temperature in glass
Unable to get the expected result in Electro-thermal-Structural problem
Unanswered threads
Uncertainity Principle: possible to know the momentum and position?
Uncertainty principle and relativity
Uncertainty Principle cause infinite wavefunction solutions?
Uncertainty principle presentation
Uncertainty vs relativity
Undamped Harmonic Oscillator Problem
Undergraduate research for perspective graduate students
Understanding a Colpitts oscillator
Understanding coupled Runga Kutta derivation
Understanding linearity in a vector proof
understanding moment of inertia values
Understanding multivariate linear regression
Understanding temperature of a system of paramagnets
Understanding the Born Rule
Understanding the P(B|A) ≡ P(A ∩ B) / P(A) formula.
Understanding transformers
Understanding uncertainties
Understanding use of accelerometers
Units of viscosity
Universal gate question
Unknown thermochemical properties...help please
Unreasonable loop
Unsolved Scientific Problems in Classical Mechanics
Unsure what undergraduate research to pursue
Unsure where g term comes from? in this equation
Untreated diabetic + ketosis = even higher blood sugar?
Unwanted Calcium Carbonate in Refractory Cement
UofT or McMaster Engineering?
uranium enrichment
Urban scaling - effect in ancient cities == modern cities
Urgent Casio program help for AP Calc riemann sums
Urgent help! Circuit problem for Physics.
US and Cuba warming relations
Use of a black hole
Usefulness of partition of unity?
using analog computer to solve 2nd-order diff eq
Using Energy Equations to find Final Velocity
Using General Relativity to analyze the twin paradox
Using Graphing Paper for Physics and Math Coursework
using h
Using Reciprocal to Determine Miller Indices.
Using the equation intensity = power/cross-sectional area
Using the Locked Rotor Test to find parameters of DC motor?
UW-Seattle vs. Scripps Institution of Oceaongraphy
Vacuum energy-fundamental particle
Value of a Masters in Computer Science from a State School?
Vanishing of Einstein tensor from Bianchi identity
Vapor pressure
Vapor pressure curve for carbon dioxide
vapor pressure in open container
Vector and component vectors
Vector and Tensor Exercise
Vector curl problem and potential
Vector identity question
Vector representation of a Quantum State
vector space
vector space and fields question
Vectors Calculus
Velocity diagram for a rotating blade
Velocity from force/time graph
Velocity of an object Rotating in vacuum
Vendor for Flint Glass Block or Prism
vertical movement of heating plate
Vertical Spring Forced Pendulum (Lagrange equations)
Vessel with liquids having different refractive index
VHDL help
Viability of closed loop deep geothermal plants?
Viking Women on the battle field?
visual space of more three dimensions
visualizing a 3-variable function in a 3D plot- Wolfram Math
Voice coil polarization
Voltage across terminals
Voltage behavior in UG cables and OH 11 KV dist line...
Voltage behavior in UG cables and OH 11 KV distribution lines...
Voltage difference
Voltage in a battery
Voltage Regulation for three phase Dzn Transformer
Voltage Regulation transformer
VOTE PF Photo Contest - Its Super!
VOTE PF Photo Contest - Pi Day
w/8 motors
Walking on eggshells
Want to be a Professor
Want to study nano-particles in Germany
Waste Heat
waste heat with both high and low temperatures
Water Leak Question
water rocket and water velocity
Wave equation
Wave equation given a cosmological inflationary metric
wave function for a potential barrier
Wave Generator with Crystal Quartz Oscillator?
Wave in inhomogeneous medium (ray equation)
Wave interference pattern
Wave motion
way to show spaced equal or not?
Weak Field Approx
Wedge and block initial momentum
Weighted Mean: different sample size and variance
Were neanderthals truely strong?
Were there objections to Einsteins theory of relativity?
What adds value to a Physicist?
What are people doing with their math/physics degrees?
What are photons?
what are quarks made of???
What are some of your favorite science-fiction novels?
What are the best free tutorials for learning Ansys Fluent
What are the best laptops to buy for programming purposes
What are the important numbers in Cosmology?
What are the physical implications of phonon softening?
What are the requirements for staff mentor?
What are top 10 physics concepts for middle schoolers?
What area does the flux formula refer to?
What background fits promising areas of mathematical physics
What books should I get? Physics and Chem
What can you learn about cosmology from Google calculator?
What college to join for Bsc in Physics in India?
What discipline deals with the following questions?
What discoveries has the LHC made besides the Higgs Boson?
What do you call Generation of electricity using waste heat
What do you mean by cooper pair in real space and k space??
What does 0 V exactly mean in an electric circuit mean?
What does an infinite line of charge represent?
What does B.dl indicate in Amperes Law
What does negative voltage mean for MOSFET?
What does the abbreviation YP stand for?
What does the sound coming from an open column look like?
What electives would be most beneficial?
What exactly does pressure drop tell you?
What experiment demonstrates Heisenbergs uncertainty principle?
What fantasy universe would you live in?
What function should I fit to this data?
What functions of fields describe particles?
What goes with a Computer Science major?
What happens at energy-gaps
What happens if "hot" wire touches Earth ground?
What happens in a black hole?
What happens to the sound wave?
What I have to learn to be able to understand this textbook
What if untreated diabetics only ate fructose and galactose?
What is "Strong Force"?
What Is A "Cubic" Spline?
What is a pomeron?
What is an inclusion map? (manifolds)
What is applied load
What is center of inertia?
What is degree of dilution
What is faster the cannon ball or its shadow?
what is final temp?
what is fringing effect ?
What is geometric interpretation of this equality?
what is integral of ln(abs(sin(x)))dx
What is mass of particle X before the decay?
What is meaning of (5
What is meant by earths surface temperature?
What is measure of numbers with certain property on [0
What is new with Koide sum rules?
What is really Nascent Oxygen?
What is responsible for force in the standard model?
What is the biggest challenge to improve white LEDs?
What is the correct formula for acceleration for SHM
What is the definition of "free fall"?
what is the difference between blood flow and cardiac output
What is the equivalent of Electric P.E. in Magnetism?
What is the force on a moving particle in a magnetic field?
What is the format for ionic lewis structure w/ resonance?
What is the general boundary condition of wave-guides?
What is the latest gossip on science
What is the magnetic force on the particle
What is the magnitude of the average velocity v of the car?
What is the mass of this vertical rope? (Mechanical Waves)
What is the meaning of dx?
what is the most efficient way to produce charged particles?
What is the oldest thing you have in your house?
What is the period of a compound pendulum?
What is the physical meaning of the Thomas-Fermi vector?
What is the physics behind GRs diffeomorphism invariance?
What is the polarity of a Pn junction diode
What is the post orientation of a EU1L battery
What is the relation between wave function on a photon.....
What is the resultant vector electric field at the point P?
What is the smallest thing discovered in our universe?
What is the squiggly thing over B
What is this thing?
What is time?
What is trivial and non-trivial gate in computing?
what kind of job can I get while working on my degree?
What kind of programming projects can be done using Kivy?
what limits non-locality?
What mathematics do undergraduate physics majors need
What might cell membranes look like on Titan?
What SciFi universe would you live in?
what should i do? lectureship or pursue Ph.D?
What should I learn after learning Calculus?
what the center of a globular clusters are made of ?
What three books would you take?
What to do to focus on design field of refrigeration?
What to do with my Physics Degree (low GPA)
What to learn next in physics
What to learn this summer?
What will happen if light is longitudinal wave?
What would happen if a stream of electrons hits a conductor?
What would you have done differently if you had to go back?
What you study in Condensed matter physics
whata difference between TEM wave and plane wave?
Whats is the best way to indicate a vector
Whats the force moving electrons against E within copper-zinc
Whats the nothingness that our universe is expanding into?
Whats the point of unconscious/comas?
Whats up :)
whats wrong with this picture?
Wheatstone bridge
wheel+axle combination
When does pirating a textbook become ethical
When does the photon splits in 2 on the Two Slit Experiment?
when editing a post
When is the appropriate time to ask a young lady for her #?
When is the following unbiased?
When will you die calcuator?
Where are the "not this again" threads
Where are the stars?
where can i buy a physics forums tee shirt?
Where can i get more info on this formula.
where can i get some semiconductor wire?
Where can I view the balance on my SS/Medicare contributions
where do I start learning differential geometry?
where do you buy your chemicals from?
where does mass come from?
Where is the electric field zero
Where to go next? (applied mathematics and physics)
where to insert lipo alarm?
Which anion could be used to selectively remove silver ions?
Which answer is correct? Please check my work?
Which answer is correct? Please check my work...
Which answer is right? Please check my work?
Which area of physics will be the most popular?
Which calculator to get?
Which Chromosomes to crossover given fitness?
Which describes the 1D gravitational force in this figure?
Which has the most intense sunlight hitting it?
Which is faster? reading from memory or arithmetic?
Which is the best conductor? silver or gold? why?
Which of these PhD is better for financial quant industry?
Which plane of GaN gives an image of dots placed hexagonally
Which satellite is looking for exoplanets using transit?
Which statement is true?
Whiteboard feature
Who Decided that Work = Force * Distance?
Who has experience with AD8333 to demodulate a square wave?
who is considered a starter?
Who is gossoping
Who is your favorite SciFi character?
Who printed money before there were private central banks?
Why are all other hominids dead?
Why are Ramanujan sums the same as the complex Zeta values?
Why are students permitted to use calculators on AP math?
Why are there heat engines?
Why are vectors defined in terms of curves on manifolds
Why can different observers agree on their relative velocity
Why can not we generate electricity with magnets?
Why can we still detect the CMB ?
why cant we reach to Speed of light at Space?
Why cant we use nuclear waste in nuclear reactors?
Why cant you change soil texture
Why cross product hava a direction but dot product doesnt?
Why do lots of people think that people choose to be gay?
Why do objects rest on space thus causing gravity?
Why do people think the universe is finite?
Why do railguns produce an "explosion"?
Why do resistors always cause a voltage drop equal to the vo
Why do resistors always cause a voltage drop equal to the voltage applied?
Why do things far away seems smaller?
Why do you like physics?
Why does a non-polar molecule imply insolubility in water?
Why does electrostatic force move water but not magnetism?
Why Does Energy Exist?
Why does expectation values are always nonnegative?
Why does impulse exist?
why does light refract toward the normal
Why does my inductor coil have no effect on my circuit
Why does newtonian dynamics break down at the speed of light
Why does plastic container slides off at the same speed?
Why does random crossover work?
Why does speed of DC motor increase when flux is reduced?
Why does the Sun behave like a black body?
Why does txpectation values are always nonnegative?
Why doesnt electrode potential depend on amount of metal?
Why doesnt U.S participiate in PLANCKS contest
Why electrostatic charges evenly distribute on metal circle
Why Gausss law works when charge enclosed is not uniform?
Why is average velocity called velocity?
Why is our society the way it is?
Why is the speed of light 186
Why is the Universe (nearly) flat ?
Why is the Universe (nearly) flat?
Why is the voltage across one resistor the same as supply?
Why is there electric field outside a battery?
Why is this tau decay not allowed?
Why isn’t the sun green?
why multiply -T?
Why must an electron-positron collision produce gamma rays?
Why must singularities create an entire universe?
Why never any length expansion under Lorentzian Relativity?
Why photons are timeless?
Why reducing nature of hydrides increases down a group?
Why so many wave equations?
Why the voltage acrossWheatstones bridge isnt always zero?
width?
Will a gap year harm my ability/career?
Wind pressure
Wind speed (100mph) to Pressure (psi)
Windows clock cannot sync
Wing surface area
Wireless Alternatives to LVDT probes?
with some knowns
Work done assembling a system of charges?
Work done by a expanding and contracting wire over a Carnot cycle
work done by electric field
Work Done by Expanding Gas
Work done by friction
Work Done On A Slingshot
Work of Electrolysis of Water
Work on a car that is skidding to a stop
Work-Energy Theorem Algebraic Representation
Work: Integral or average
Working out a point / segment on a sphere
Working through college?
Working with Maxwell equations
Working with numerical solutions in mathematica
Workings of Aircraft/Electronics of Aircraft
Worm gear calculation
Worst frequency for EM interference?
Would a wires magnetic field increase the net-B field?
Would gravity waves redshift ?
Would gravity waves redshift?
Would Staring at Laptop in Dim Lit Room be Bad?
Would the one accelerating please stand up?
Would the reading in voltmeter change??
Would you date or marry a nonintellectual?
Write a Pseudocode for the following instructions:
Writing an essay for summer research as an undergraduate.
Wrong Explanations for the Luminosity of Main-Sequence Stars
Wronskian to determine L.D
X > 0
xray characteristic
Y-Chromosomal Adam
Yemeni mess
Yo Physics Forum
YOU!: Fix the US Energy Crisis
Your Local Cuisine
Zener diode connections
Zooniverse or Galaxy Zoo
Zurecks Quantum Darwinism Paper
σ Model
Blog Archive
►
2015
(3654)
►
juin
(2)
►
avril
(752)
►
mars
(1500)
►
février
(1400)
►
2014
(12800)
►
septembre
(916)
►
août
(1515)
►
juillet
(1519)
►
juin
(1467)
►
mai
(1522)
►
avril
(1461)
►
mars
(1500)
►
février
(1378)
►
janvier
(1522)
▼
2013
(8400)
►
décembre
(1500)
►
novembre
(1450)
►
octobre
(1534)
►
septembre
(1466)
►
août
(1500)
▼
juillet
(950)
Anyone going to Harvard University?
Gravitational force of moving objects
Poisson Distribution w/ book errors
MoI of a Sphere using Spherical Coordinates
Convergence of Series Sinx/x
Homomorphisms of Languages
Thermal Engineering_Heat Transfer
interference and entanglement
Inequality: Integration of Norm
Maximum perpendicular height above an inclined plane
Transition from Mech. Eng (undergrad) to Comp Scie...
Could a lightsaber deflect a phaser?
Can't get Fortran code to give me desired output file
A question on centrifugal artifical gravity
Do you use encryption? According to NSA = Potentia...
Is it ok to commit fraud if it's widespread?
Finding a Formula for the General Term of a Sequence
The philosophy of squaring > Why no f=ma^2
Continuity on a Missing Strip Plane
Find all singular points?
Limit of a Sequence
Electric Field of a Solenoid
Any computational physicists?
Metric tensor at the earth surface
Why are functions not differentiable at holes?
Is this right?(something i "discovered" )
Physics BS then Aerospace MS or Engineering Physic...
physics help!!
Need Help Fixing Plasma Tv...... Please?
Converting from Static to Dynamic Understanding th...
Weight supported by two supports
Intensity v.s. sound intensity
DMSO and Aromatherapy
Determine the convergence or divergence of the seq...
Binomial Theorem problem
Maximums on a Diffraction Grating
Understanding a boundary condition on the density ...
An electron emitts a photon and the core is pushed...
Proof Exercise II
Recursive model for body in fluid
Does every permutation of group generators imply a...
Best route to become a quant
Mathematics Graduate Looking to Study Mechanical/A...
Help solving line integral question
elastic collision at an angle
How current relates to capacitance
Basic statistics calibration question
uniform rod pivoted off-center
Am I stupid or did I not try hard enough?
Mermin-Wagner theorem and 2D magnetism
When to decelerate a constantly accelerating ship?
Retake physics 1 or take modern physics?
Is light matter, or just a concept of vibrations i...
What if everything was done at the command of the ...
RSA Encryption
Force of Gravity in a 2 Dimensional Universe
Euclid's sixth postulate
Work problem on winding up a cable
Calculus - optimizing problem
Large Scale Generators
Integral from an electric field calculation
GR to Newtonian
Power and forces
product rule in probability and more
Gaussian Surface and Charge Density
Friction and wood
Large Hadron Collider
Who inspired and ispires you?
Forces at Impact on Object(s)
Falling object in gravitation field
Best plasma physics schools in Russia/Europe?
Conversion of Temperature Scales
James Baldwin's father/mental illness
Forces at Impact on Object
Diet and inflammation response
Friction and toboggans
Variance of statistic used in runs test
simple question about basic function
Finding The Constants a,b and c.
unusual problem for my course and struggling
How do we see distant galaxies?
Neumann and Dirichlet BCs in discrete Poisson EQ
How can the probability of a particle entering a f...
Multiplying primitive roots of unity.
Do you enjoy engineering?
Finding diameter of torsion shaft
Time effects in seperate frames of reference.
Question about nature of light...
Electromagnetism: Axle rolling on train rails
Which field would fit me?
Category Theory - what is its current state?
kinetic friction homework
using elastic equations to calculate height
Question regarding acoustic data (FFT)
Help please
proximal/distal displacement of stents
Permittivity and Permeability affect propagation v...
drift and diffusion in semiconductors
g77/mountain lion/xcode 4.6 help
Maritime Physics Ideas??
Fourni par
Blogger
.
0 commentaires:
Enregistrer un commentaire